Diamant je synonymem tvrdosti, jeho mechanické vlastnosti ale neurčuje jen chemické složení. Dvě nové studie publikované v časopise Carbon ukazují, že o chování nanodiamantových materiálů rozhoduje především to, jak jsou uspořádané v nanoměřítku. Právě tyto jemné detaily vědci zkoumali pomocí výpočtů na superpočítačích IT4Innovations.
Otázkou, jak udělat diamant – a obecně supertvrdé materiály – ještě odolnější, se vědecký svět zabývá už desítky let. Cílem není jen posouvat hranice základního výzkumu, ale také navrhovat nové materiály pro praktické využití, například v energetice, elektronice, letectví nebo při obrábění extrémně tvrdých povrchů. Současné supertvrdé materiály totiž narážejí na své limity, ať už jde o tepelnou stabilitu (u čistého diamantu), nebo o extrémní podmínky nutné k jejich výrobě (například u kubického nitridu bóru).
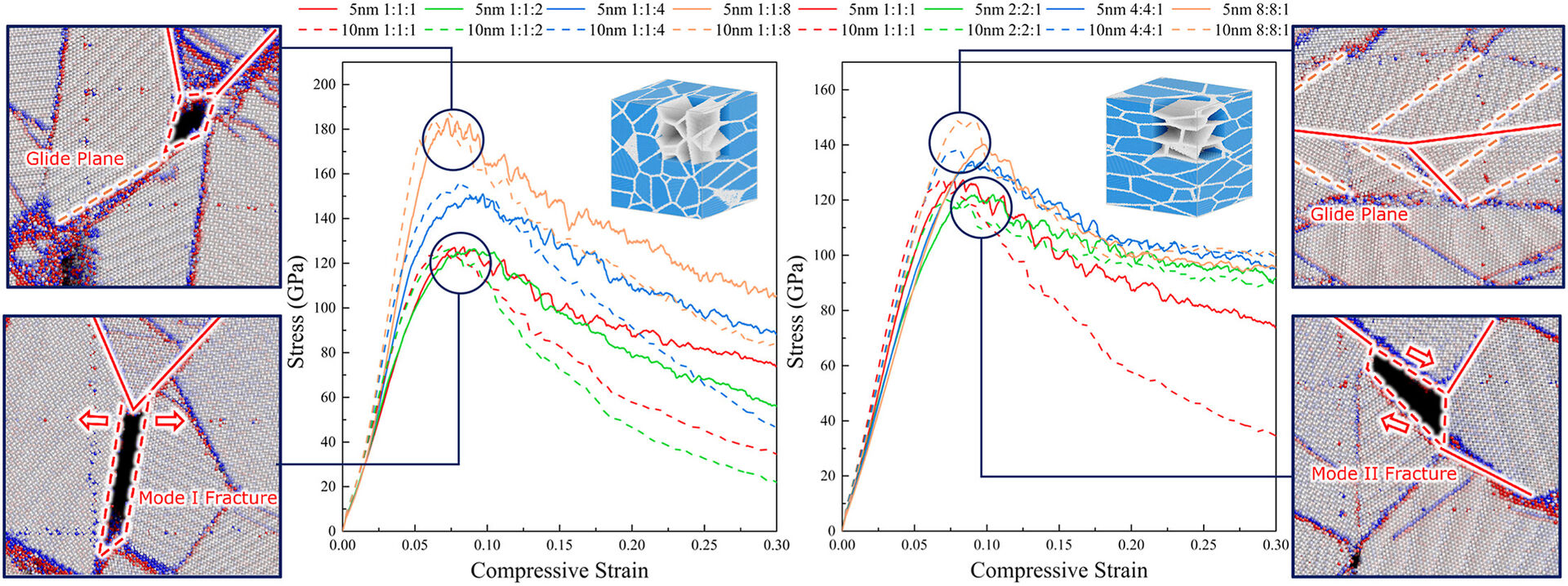
Jedna ze studií se zaměřila přímo na krystalický diamant se zrny o rozměrech 10-9 m, tzv. nanodiamant. Platí, že se zmenšující se velikostí krystalických zrn jeho pevnost roste, protože se omezuje šíření poruch (dislokací) jak v zrnech, tak i mezi jednotlivými zrny. Dominik Legut společně s kolegy pomocí atomárních simulací zkoumali, jak se nanodiamanty s různým tvarem, velikostí a uspořádáním zrn chovají při stlačování – a která kombinace vlastností vede k nejvyšší odolnosti.
Ukázalo se, že materiál reaguje na zatížení různě, a to v závislosti na směru působící síly a tvaru krystalických zrn, což má zásadní vliv na jeho pevnost. Zároveň se potvrdilo, že čím jsou zrna protáhlejší, tím menší je sklon materiálu k praskání. Namísto vzniku trhlin se deformace (dislokace) začíná objevovat uvnitř zrn, takže se nanodiamant chová méně křehce a lépe odolává extrémnímu namáhání.
Na základě těchto výsledků byl navrhnut princip, jakých tvarů krystalických zrn cíleně dosahovat k navýšení pevnosti. Tento přístup může pomoci při vývoji nových syntetických diamantů ale rovněž dalších uhlíkových materiálů, které budou nejen extrémně tvrdé, ale zároveň mechanicky odolnější.
Mezi nejtvrdší multifunkční anorganické nekovové materiály dnes patří kromě diamantu také kubický nitrid bóru (cBN). Každý z těchto materiálů však má své limity. Jejich spojením do nanokompozitních materiálů je možné tyto hranice dále posunout.
Druhá studie ukazuje, že pevnost materiálu nezvyšuje jen samotné složení, ale také jemné nepravidelnosti na atomárních rozhraních. Konkrétně jde například o nano-dvojčatové struktury a poruchy vrstvení, které zvyšují odolnost proti vnitřnímu posunu atomových vrstev. Pokud mají tato rozhraní navíc zrcadlovou symetrii, výsledný materiál je ještě pevnější.
Dominik Legut z IT4Innovations spolu s kolegy z Číny, Austrálie a Japonska ukázali, že cíleně navržená atomární rozhraní v kompozitech diamantu a kubického nitridu bóru mohou pevnost materiálu výrazně zvýšit. Právě kontrola těchto rozhraní hraje klíčovou roli při vývoji nové generace supertvrdých nanomateriálů s výjimečnými mechanickými vlastnostmi a vysokou tepelnou stabilitou.
Výpočty v obou studiích probíhaly na superpočítačích IT4Innovations. Materiáloví vědci si od těchto výsledků slibují rozšíření funkčnosti a využití nanodiamantů a jejich kompozitů v širším spektru vědeckých i průmyslových aplikací.
Odborné články
Morphology dominated deformation mechanism of ultrahard nanostructured diamond
https://doi.org/10.1016/j.carbon.2025.120426
A dislocation perspective on heterointerfacial strengthening in nanostructured diamond and cubic boron nitride composites
https://doi.org/10.1016/j.carbon.2025.120079
Grafický abstrakt z článku Liu, Z., Xu, T., Zhang, Y., Geng, A., Legut, D., & Zhang, R. (2025). Morphology dominated deformation mechanism of ultrahard nanostructured diamond. Carbon, 242, 120426. https://doi.org/10.1016/j.carbon.2025.120426

