A full list of all projects awarded computing time through our Open Access Grant Competitions can be found here.
Below, you will find a selection of projects from each call.
Design of new peptidomimetics for immuno-oncology
Call: 36th Open Access Grant Competition, OPEN-36-29
Researcher: Jana Přecechtělová
Institution: Charles University, Faculty of Pharmacy in Hradec Králové
Field: Life Sciences
Professor Pávek’s research group at the Faculty of Pharmacy in Hradec Králové, Charles University, has been granted computing time on the Karolina and LUMI supercomputers to study the nuclear receptor NR2F6, which plays a key role in the immune response.
The research is carried out by a broader multidisciplinary team, including both experimental scientists and bioinformaticians. The computational part employs molecular dynamics simulations and generative AI methods for the design and testing of molecules.
The work focuses on peptidomimetics – small protein-like chains that disrupt the interaction between NR2F6 and its co-regulator NSD1 – potentially contributing to the development of new immuno-oncology therapies against cancer.
Gaussian Boson Sampling for Earth Observation (GBS4EO)
Call: 36th Open Access Grant Competition; OPEN-36-43
Researcher: Jiří Tomčala
Institution: IT4Innovations
Field: Earth Sciences
Gaussian Boson Sampling for Earth Observation (GBS4EO) is a project funded by the European Space Agency (ESA) that addresses the growing need to efficiently analyse large and complex volumes of satellite data. Processing such extensive datasets, however, faces the limitations of classical computers, and quantum technologies offer new possibilities to overcome this barrier. Particular challenges arise in tasks such as detecting methane in the atmosphere or selecting hyperspectral bands – narrow segments of the electromagnetic spectrum that can capture subtle changes on Earth, for example in vegetation health or greenhouse gas emissions.
The research team will therefore focus on developing and testing new algorithms for the rapid analysis of these data, including methods for simulating Gaussian Boson Sampling, which is typically performed on photonic quantum computers. As part of this project, the approach will also be adapted for superconducting quantum computers. The libraries will first be developed and tested on the Karolina and Barbora NG supercomputers, with the aim of integrating them into a hybrid quantum-classical algorithm. The project will also include data preparation, the creation of validation procedures, and the establishment of a reproducible environment for testing these algorithms both via simulations and directly on the superconducting quantum computer, VLQ.
Dynamic 3D reconstruction of natural scenes
Call: 36th Open Access Grant Competition, OPEN-36-5, multiyear
Researcher:: Jhacson Meza
Institution: Czech Technical University in Prague, CIIRC
Field: Informatics
Jhacson Meza from the Czech Technical University in Prague is developing methods for three-dimensional reconstruction of dynamic changes in nature over time – such as moving trees, flowing water, and shifting vegetation.
The Karolina supercomputer will help him develop reconstruction techniques to capture these changes, predict their appearance under varying seasonal and lighting conditions, and produce photorealistic renderings of these predicted changes.
The aim is to increase realism in virtual and augmented reality environments, support the digital preservation of natural sites, and provide new tools for the computer vision and scientific community. The research is supported by the Czech Science Foundation within the A Unified 3D Map Representation project.
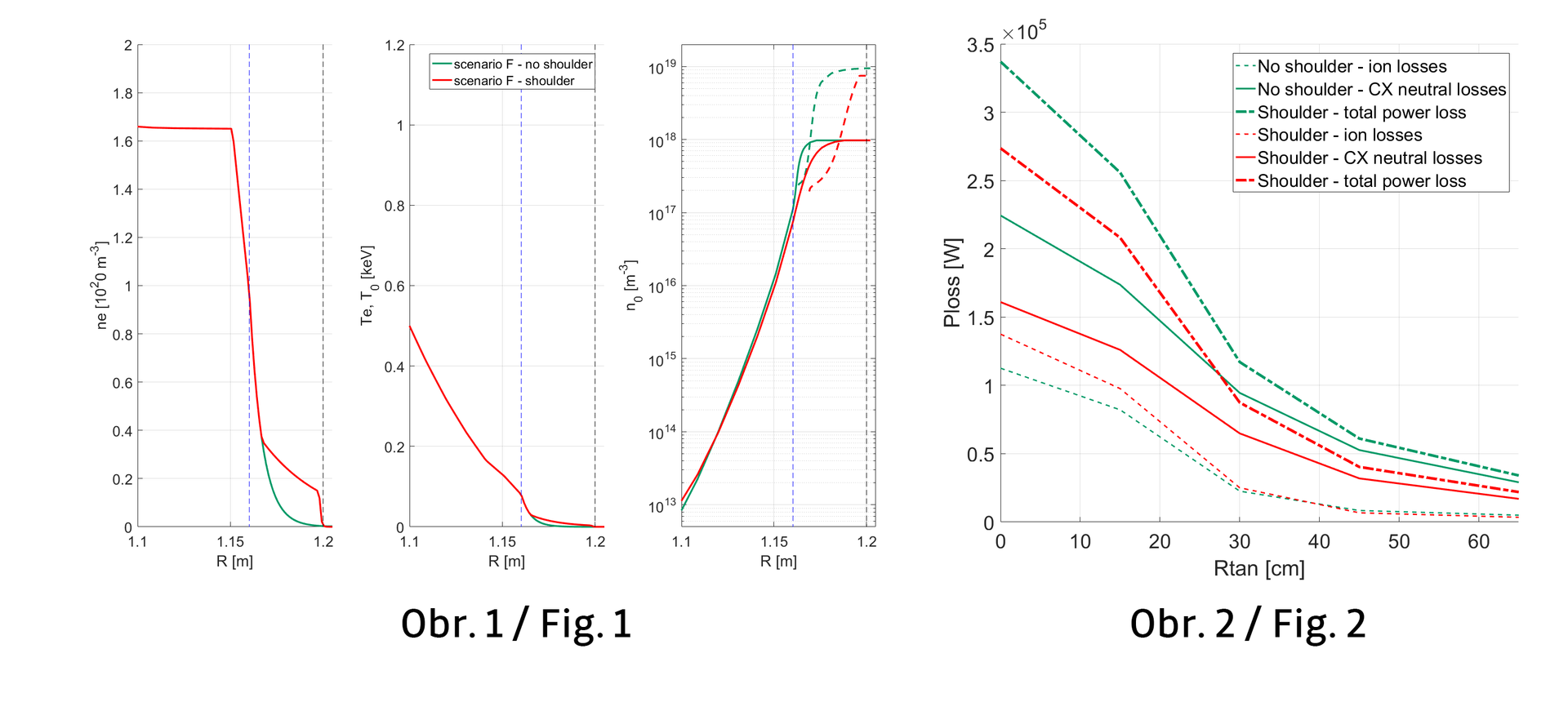
Modelling of ELM transport in the ITER SOL
Call: 36th Open Access Grant Competition; OPEN-36-33
Researcher: Šimon Vrba
Institution: Czech Academy of Sciences, Institute of Plasma Physics
Field: Physics
Image: Left: a poloidal cross-section of the ITER tokamak vacuum vessel.
Right: the time evolution of deuterium ion temperature in the ITER SOL during the initial phase of ELM injection (simulation in progress).
Šimon Vrba from the Institute of Plasma Physics of the Czech Academy of Sciences, under the supervision of Dr David Tskhakaya, focuses on kinetic simulations of the scrape-off layer (SOL) in tokamaks – devices used for controlled thermonuclear fusion. His research centres on extreme plasma bursts (so-called ELMs), which cause intense heat loads on the divertor and lead to material erosion, particularly of tungsten. This represents one of the key challenges for the long-term operation of future fusion reactors, such as the international ITER project in France.
The allocated computing time on the Karolina and Barbora NG supercomputers will be used by the team to carry out detailed kinetic simulations of these processes using the BIT1 code. The results will help to better predict heat fluxes, erosion, and tungsten transport in edge plasma – critical insights for the safe and efficient design of tokamaks and their operational scenarios.
The research contributes to the work packages of the EUROfusion consortium as well as to the activities of the ITER organisation, which bring together research institutions and laboratories focused on the development of fusion energy.
Peptides controlling membrane curvature
Call: 36th Open Access Grant Competition; OPEN-36-41
Researcher: Robert Vácha
Institution: CEITEC, Masaryk University
Field: Life Sciences
Robert Vácha from CEITEC, Masaryk University, studies how peptides and proteins interact with cell membranes. Cell membranes are highly dynamic and constantly change shape. Their role is to protect the cell while separating its internal compartments from the surrounding environment. Some molecules recognise and prefer regions with a particular membrane shape (curvature), which can lead to their spontaneous organisation. Others, on the other hand, influence membrane curvature themselves, thereby altering its shape. These processes play a crucial role in, for example, the transport of substances into and out of the cell, cell division, cellular signaling, and viral infection.
Although these processes are essential for cell function, we still cannot reliably determine which proteins are sensitive to membrane curvature and which actively induce it. Moreover, we currently lack tools to deliberately modulate this capability. The research team will therefore utilise computational time on the LUMI supercomputer to perform molecular simulations, which will help design new peptides capable of recognising membrane curvature or generating it themselves. These findings could, in the future, contribute to the development of novel biotechnological and therapeutic tools.
The research is supported by the Czech Ministry of Education, Youth and Sports’ Inter-Excellence programme within the project Peptides Controlling Membrane Curvature (LUC25012).
Sign language recognition, translation, and interpretability
Call: 36th Open Access Grant Competition; OPEN-36-19
Researcher: Marek Hrúz
Institution: University of West Bohemia in Pilsen
Field: Informatics
Marek Hrúz from the University of West Bohemia in Pilsen develops systems for the automatic recognition and translation of sign language, capable of interpreting hand gestures, facial expressions, and body movements. Together with his colleagues, he developed SignLLaVa, which maps visual features into representations of a large language model (Llama 3.1) and generates written translations. The team is now focusing on aligning sign languages with their spoken counterparts.
To train and test artificial intelligence that converts visual information into written or spoken language – while also enabling insight into how the system processes signs—the team has been awarded computing time on the LUMI supercomputer. Their main mission is to improve communication between sign language users and speakers of other languages, and to create technologies that enhance access to education, employment, and public services for the deaf community.
Reconstructing Quaternary mountain glaciation and palaeoclimate in Central Europe with the Parallel Ice Sheet Model
Call: 36th Open Access Grant Competition, OPEN-36-27
Researcher: Cristina-Ioana Balaban
Institution: Charles University
Field: Earth Sciences
Glacier in Norway (Hardangerjøkulen), considered an analogue of glaciation in the mountains of Central Europe. Photo credit: Martin Margold.
Cristina-Ioana Balaban from Charles University will use the Karolina supercomputer to reconstruct Quaternary glaciation and paleoclimate in Central Europe. The project aims to determine the climate conditions under which glaciers formed, grew, and retreated, and how these conditions affected plants, animals, and humans in the mountains between the large Fennoscandian and Alpine ice sheets.
The research, supported by the Czech Science Foundation
(25-17976S) and involving researchers from Vrije Universiteit Brussel (Belgium), will help improve our understanding of past distributions of nature and humans, past climate changes, and will also support mountain conservation and public education.
Design of polysaccharide-binding peptides using molecular simulations and evolutionary algorithms
Call: 35th Open Access Grant Competition, OPEN-35-3
Researcher: Denys Biriukov
Institution: Masaryk University
Field: Biosciences
Denys Biriukov from Masaryk University will use the LUMI supercomputer to design new short peptides capable of recognising and binding polysaccharides on the surfaces of mammalian and bacterial cells. By combining evolutionary algorithms with molecular simulations, he will search for peptide motifs with high affinity for selected saccharide structures, such as hyaluronan or polysaccharides typical of E. coli and S. aureus. The results may contribute to the development of more precise biosensors, targeted therapeutics, and new diagnostic tools, thereby supporting progress in biomedicine and biotechnology.
AI-powered building management system using image analysis
Call: 35th Open Access Grant Competition, OPEN-35-15
Researcher: Artem Moroz
Institution: Czech Technical University in Prague
Field: Informatics
Artem Moroz from the Czech Technical University in Prague will use the Karolina supercomputer to develop an intelligent building management system based on image analysis. The system will leverage artificial intelligence and ceiling-mounted cameras to detect people, identify their activities, and recognise critical situations in real time, enabling automated responses. The technology will contribute to safer public spaces, support care for seniors and patients, and improve energy efficiency in smart buildings.
This research is part of the Building management system based on artificial intelligence image analysis project (FW11020202), supported by the Technology Agency of the Czech Republic (TA CR).
Photoenzymes for solar energy utilization and bioenergy
Call: 35th Open Access Grant Competition, OPEN-35-12
Researcher: Filip Šebesta
Institution: Charles University and Czech Academy of Sciences
Field: Material Sciences
Filip Šebesta from Charles University and the Czech Academy of Sciences will use the Karolina supercomputer to research the transformation of copper-containing proteins into photoenzymes. Using various spectroscopic methods and a combination of quantum-mechanical and classical molecular simulations (QM/MM/MD), the activity of enzymes after binding organometallic photosensitisers will be studied. When exposed to light, these photosensitisers initiate electron transfer, enabling detailed investigation of enzymatic reaction mechanisms as well as entirely new processes that do not normally occur in nature.
The research will also focus on the role of the amino acids tryptophan and tyrosine, which can not only protect enzymes but also actively participate in electron transfer and thus in catalysis. The aim of this multi-year project is to develop photoenzymes capable of using solar radiation to oxidise water and organic substances, thereby opening up new possibilities for harnessing solar energy in catalytic processes.
This research is part of the Turning copper proteins into photoenzymes project, supported by the Ministry of Education, Youth and Sports of the Czech Republic (LUAUS25012), and the Energy Conversion and Storage project (CZ.02.01.01/00/22_008/000461), funded by the Johannes Amos Comenius Operational Programme.
ILTIR: Instance-level text-to-image retrieval
Call: 35th Open Access Grant Competition, OPEN-35-7
Researcher: Vladan Stojnić
Institution: Czech Technical University in Prague
Field: Informatics
Imagine trying to find a photo of your childhood stuffed toy monkey in a huge collection of images. Not just any toy monkey, but your orangutan-like one with shaggy reddish-brown fur, big round eyes, a light beige face, velcro on its hands, and a stitched smile. Most image search tools today would simply return generic pictures of toy monkeys. They often miss the specific details that matter most. Vladan Stojnić from the Czech Technical University in Prague received LUMI computational resources to develop a method that can find images based on detailed, object-level descriptions. Instead of searching for broad categories, like “stuffed toy,” the goal of our team is to help computers recognize and retrieve images of specific items that match a unique description. To achieve this, we plan to build on top of recent models that connect images and text and train them with data designed for this task. They’ll also adjust how these models learn, so they better understand the fine details that set one object apart from another.
Synthetic environments for next-gen safety and efficiency in cities
Call: 35th Open Access Grant Competition, OPEN-35-29
Researcher: Petr Strakoš
Institution: IT4Innovations
Field: Informatics
The image shows synthetically generated visual data from a virtual 3D environment designed for the development of AI algorithms in the field of transport.
The IT4Innovations team will use the Karolina, LUMI, and Barbora NG supercomputers to develop intelligent systems for safe transport and efficient energy management in cities and smart buildings. They will focus on object recognition, human activity detection and real-time anomaly identification using artificial intelligence. To train the algorithms, they will also use synthetically generated visual scenarios from 3D environments, enabling them to simulate complex or rare situations that cannot be easily captured in the real world. The outcome will be a new generation of systems capable of responding swiftly and reliably in critical situations. This research is being carried out as part of international cooperation and the InnovAIte project.
Computational support for CERN experiments
Call: 35th Open Access Grant Competition, OPEN-35-22
Researcher: Michal Svatoš
Institution: Czech Academy of Sciences
Field: Physics
Experiments measuring particle collisions in the Large Hadron Collider (LHC) at CERN require enormous computing capacity for data analysis and Monte Carlo simulations. To meet these demands, the Worldwide LHC Computing Grid (WLCG) was established as a distributed computing environment, supported by both pledged resources, and unpledged resources provided by HPC centers, and occasional cloud resources and resources from volunteers via BOINC.
Among the significant contributors of computing capacity are the resources provided by IT4Innovations, including the Czech supercomputers Karolina and Barbora, and the Finnish system LUMI. A team from the Institute of Physics of the Czech Academy of Sciences has already developed an efficient environment for the automatic submission of workloads to IT4Innovations supercomputers. Processor utilisation is optimised using the HyperQueue tool developed by IT4Innovations, ensuring maximum efficiency of the available resources.
The overall aim is to increase the computing capacity for processing LHC experimental data, thereby strengthening the computational resources available to the Czech Republic and supporting advanced analyses and precise measurements in research into the fundamental properties of matter.
All-Atom Any-Modality Molecular Diffusion Model for Biomolecule Design
Call: 34th Open Access Grant Competition; OPEN-34-1
Researcher: Anton Bushuiev
Institution: Czech Technical University in Prague, CIIRC
Field: Biosciences
Researchers at CIIRC CTU will harness the power of one of Europe’s most powerful supercomputers, LUMI, to develop artificial intelligence that assists in the design of new medicines. This advanced model learns from three-dimensional images of molecules how they interact – or, conversely, compete – with one another. Using these insights, it can propose new compounds that precisely target molecules associated with diseases such as viral infections or cancer. Scientists will then test these designs in the laboratory to verify their effectiveness. The resulting tool will also be made available to the wider scientific and medical communities.
This research is part of the CLARA Centre of Excellence, funded by the Johannes Amos Comenius Programme.
Generative models for bone dataset augmentation
Call: 34th Open Access Grant Competition; OPEN-34-72
Researcher: Martin Špetlík
Institution: Technical University of Liberec
Field: Biosciences
A research team from the Technical University of Liberec is using the LUMI supercomputer to create an extended dataset of clinical CT bone scans through generative machine learning models. The aim is to gain a deeper understanding of how differences in bone shape and structure between individuals relate to bone remodelling – a process essential for healthy bone function.
The scientists are investigating whether CT scans can reveal the degree of mechanical loading experienced by patients’ bones. Such insights could pave the way for more precise and individually targeted treatment of osteoporosis. To address the shortage of available clinical data, they are generating realistic synthetic CT scans using advanced generative neural networks.
The findings could contribute to earlier diagnosis, more effective treatment and fracture prevention, thereby reducing both the health and economic burden of an ageing population.
This research is part of the Czech Science Foundation project GA ČR 24-10862S – Data-driven modelling of bone morphology and mineral density.
Machine learning-based surrogate modeling for conjugate heat transfer enhancement with complex surface geometry: CFD simulation
Call: 34th Open Access Grant Competition; OPEN-34-86
Researcher: Jan Boháček
Institution: Brno University of Technology
Field: Engineering
Jan Boháček from Brno University of Technology will utilise the supercomputers Barbora and Karolina to develop a computationally efficient and accurate framework for modelling conjugate heat transfer in complex surface geometries. These calculations are typically performed using CFD simulations, which, at high accuracy, demand substantial computational resources.
The aim of the project is to employ machine learning methods to create so-called surrogate models that can replace parts of these resource-intensive simulations. This approach will reduce computational costs while maintaining result reliability, enabling more efficient optimisation of heat transfer.
The research is supported by the Czech Science Foundation project GA CR 25-16935S.
Properties of liquids interacting with pressurized gases: from natural gas to hydrogen economy
Call: 34th Open Access Grant Competition; OPEN-34-13
Researcher: Jan Heyda
Institution: University of Chemistry and Technology Prague
Field: Material sciences
The dissolution of gaseous methane (under high pressure of 105 bar) and its diffusion in liquid p-xylene take place inside a 9 mm titanium measuring cell. The temporal evolution of these processes, including the position and shape of the interface (green and pink curves), is monitored using a unique neutron imaging method. Molecular dynamics simulations provide a sub-nanometre view of the arrangement of methane in the gas phase (black spheres), at the interface (blue), and within (yellow) the liquid p-xylene (turquoise region). By combining experiments and simulations, it becomes possible to evaluate key physico-chemical properties of these systems under conditions closely resembling those encountered in the energy industry.
Scientists from the University of Chemistry and Technology in Prague will harness the power of the Barbora and Karolina supercomputers to investigate how selected liquids interact with gases such as methane, ethane and hydrogen under high pressure. These insights are crucial both for today’s natural gas industry and for the emerging hydrogen economy. In current energy systems, methanol serves as an inhibitor of undesirable methane hydrate formation.
Looking ahead, methanol and toluene are considered promising liquid organic hydrogen carriers (LOHCs) for future energy infrastructures. Using molecular simulations, the research team is examining non-bonded interactions in detail, thereby complementing unique neutron imaging of high-pressure systems carried out in collaboration with scientists from the Paul Scherrer Institute (PSI).
The research forms part of the Czech–Swiss project “Properties of Liquids Exposed to Compressed Methane, Ethane and Hydrogen” (GA ČR–SNSF 23-04741K).
Exploring the mechanisms of plasticity in nitinol
Call: 34th Open Access Grant Competition; OPEN-34-88
Researcher: Miroslav Černý
Institution: CEITEC
Field: Material Sciences

An atomistic simulation of plastic deformation in the martensitic structure of Nitinol. Within this structure, researchers have identified a new plastic deformation mechanism – known as kwinking (a term coined by combining twinning and kinking) – which merges the processes of twinning and anisotropic plastic slip.
A research team from CEITEC, Brno University of Technology and the Czech Academy of Sciences is harnessing the power of the Karolina, LUMI and Barbora supercomputers to study in detail the properties of a nickel–titanium alloy – Nitinol (NiTi). Thanks to its ability to return to its original shape after deformation and subsequent heating – a phenomenon known as shape memory – Nitinol is a unique material with a wide range of applications, from medical devices to technical components. In addition to its shape memory effect, Nitinol also displays a surprisingly high ductility, i.e. the capacity for plastic deformation.
This remarkable combination of properties stems from mechanisms at the atomic level that remain largely unexplored. To uncover them, scientists are employing novel approaches in atomic simulations based on machine learning and quantum-mechanical calculations, which now make it possible to reconstruct the behaviour of materials down to the level of individual atoms.
The research, carried out within the Czech Science Foundation project GA ČR 25-16285S, “Kwinking concept in NiTi shape memory alloy”, paves the way for the development of new materials that combine the unique features of shape memory alloys with the high toughness of materials utilising TRIP and TWIP mechanisms.
Ribosomal tunnels
Call: 33rd Open Access Grant Competition; OPEN-33-14
Researcher: Michal Kolář
Institution: University of Chemistry and Technology Prague
Field: Biosciences
The image shows a cross-section of a bacterial ribosome, with the large subunit in shades of grey and the small subunit in shades of yellow. The nascent protein is dynamically displayed in blue and red on the right side inside the ribosomal tunnel.
Ribosomes are key molecular factories in cells – they produce essential proteins for life. The nascent protein chain passes through a tunnel inside the ribosome that is approximately 10 nm long. Although the mechanism of protein synthesis is the same in all organisms, ribosome tunnels can vary considerably. The shape and chemical composition of the tunnel walls influence, for example, the speed and accuracy with which proteins are synthesised. Michal Kolář and his team from the University of Chemistry and Technology in Prague use the Karolina and LUMI supercomputers for atomistic simulations to observe how proteins move inside the ribosomal tunnel. This provides detailed information about a complicated process to study experimentally. The results of the simulations allow them to understand better how ribosomes are regulated and their evolutionary history. This directly impacts the development of antibiotics and drugs for neurodegenerative diseases, in which the ribosome, its tunnel, and nascent proteins play a key role.
This research is also supported by the Czech Science Foundation (project Towards an atomic understanding of the first moments in the life of protein, 23-05557S).
Advanced speaker recognition using artificial intelligence
Call: 33rd Open Access Grant Competition; OPEN-33-6
Researcher: Lukáš Burget
Institution: Brno University of Technology
Field: Informatics
Lukáš Burget from Brno University of Technology will use the Karolina and LUMI supercomputers to develop an advanced speech recognition system. The aim is to create a technology that can cope with multiple speakers speaking simultaneously, even in noisy and acoustically challenging environments using multiple microphone inputs. The team will build on the successful use of large-scale pre-trained models such as OpenAI Whisper and focus on adapting and integrating them with complementary tools, such as speaker diarisation or sound source separation. The result will be a robust system that finds applications in research and practice - for example, in healthcare, smart home, and crisis communication.
The research is supported by the European Horizon Europe (ELOQUENCE project) and Marie Skłodowska-Curie (ESPERANTO project) programmes, as well as by national projects of the Ministry of Interior of the Czech Republic (“112” and NABOSO projects), which focus, among others, on security, AI trustworthiness and combating voice-based deepfakes.
Artificial intelligence and the search for new drugs to treat pain and prostate cancer
Call: 33rd Open Access Grant Competition; OPEN-33-54
Principal Investigator: Rafael Doležal
Institution: 2nd Faculty of Medicine, Charles University
Field: bioscience
The figure illustrates the basic principle of virtual screening of new TRMP8 receptor antagonists using molecular docking and deep neural networks (AI & GPU).
Rafael Doležal from Charles University uses artificial intelligence (AI) and supercomputers, specifically Karolina and LUMI, to streamline drug design. In this project, he focuses on identifying new antagonists for the TRPM8 receptor, which is associated with the perception of cold and diseases such as migraine, steatohepatitis, and prostate cancer. In his research, he intends to use AI for ultra-fast screening of up to 1 billion chemical compounds to find suitable candidates for new drugs. This process combines molecular docking with machine learning, allowing symbolic representations of chemical molecules to be evaluated extremely quickly. The goal is to design new drug candidates for certain types of neuropathic pain and cancer using advanced AI technologies, which will be verified experimentally in in vitro tests.
A universal approach for video understanding tasks with language grounding
Call: 33rd Open Access Grant Competition; OPEN-33-23
Researcher: Evangelos Kazakos
Institution: The Czech Institute of Informatics, Robotics and Cybernetics at CTU in Prague
Field: Informatics
Output of the GROunded Video caption gEneration (GROVE) model on an instructional video. The model outputs a video-level caption (bottom) with key noun phrases in the caption coloured and localised (grounded) in the video by temporally consistent bounding boxes (top).
Evangelos Kazakos from the Intelligent Machine Perception team at the Czech Institute of Informatics, Robotics and Cybernetics, Czech Technical University in Prague, is leveraging the LUMI supercomputer to develop a versatile video-language neural network model capable of addressing a wide range of spatio-temporal grounding tasks in long videos. The model integrates a large language model (LLM) to interpret task requirements and generate video captions, alongside a visual grounding module that identifies both the temporal span of described activities and the bounding boxes of relevant objects.
Existing models face significant challenges in spatio-temporal reasoning–particularly over long videos–an ability crucial for applications such as robotic manipulation and autonomous driving. This project aims to unify diverse video grounding tasks into a single, flexible framework, offering a more holistic solution. The outcomes could enable robots to follow natural language instructions for object manipulation and enhance communication between autonomous vehicles and human drivers, contributing to safer and more intuitive interactions.
This work is part of the ERC Advanced Grant FRONTIER (GA no. 101097822).
Laser acceleration modelling
Call: 33rd Open Access Grant Competition, OPEN-33-83
Researcher: Alexander Molodozhentsev
Institution: ELI-Beamlines
Research Area: Physics
Alexander Molodozhentsev from ELI-Beamlines will use the Karolina and LUMI supercomputers to develop new models for laser particle acceleration, aimed at generating high-quality electron beams with energies in the giga-electronvolt (GeV) range. The goal of this research is to improve methods for efficiently and compactly accelerating electrons using laser radiation, which could lead to smaller and more affordable particle accelerators. Such technology could be applied in scientific fields such as biology and medicine, including advanced imaging and cancer treatment methods. This research is part of the European EuPRAXIA project, and the team closely collaborates with experimental teams, accelerating the transfer of results to real-world applications.
Machine learning and semi-empirical quantum chemistry
Call: 33rd Open Access Grant Competition; OPEN-33-68
Researcher: Jan Řezáč
Institution: Institute of Organic Chemistry and Biochemistry of the Czech Academy of Sciences
Field: Material Sciences

Jan Řezáč from the Czech Academy of Sciences of the Czech Republic will use the Karolina and Barbora supercomputers to develop a new method in computational chemistry that combines semiempirical quantum mechanical (SQM) computation with machine learning (ML). The result will be a tool that offers the accuracy of density functional theory (DFT)-based methods but with significantly lower computational requirements. The method's current version, PM6-ML, has already been published in the Journal of Chemical Theory and Computation.
With the support of supercomputers, the research team is now working on improving the machine learning model and expanding the training dataset. The goal is to create an even more accurate and versatile method that retains excellent scalability for large-scale computations, especially for applications in drug development. Based on open-source software, the tool under development is already freely available to the scientific community. The research is supported by the Grant Agency of the Czech Republic.
Advancing Risk Stratification and Treatment in Multiple Myeloma Through Genomic Analysis of Circulating Tumor Cells
Call: 32nd Open Access Grant Competition, OPEN-32-9
Primary Investigator: David Žihala
Institution: University of Ostrava
Research Area: Biosciences
The Karolina supercomputer helps scientists from the University of Ostrava to study circulating tumor cells (CTCs) in patients with multiple myeloma, the second most common blood cancer. CTCs can escape the bone marrow and enter the bloodstream. The amount of CTCs in the blood serves as an important indicator of disease prognosis. In this project, led by David Žihala, researchers will analyse data from patients with different levels of CTCs. The aim is to understand the biology of these cells and their role in disease progression. They will also test the possibility of using whole genome sequencing of CTCs from peripheral blood (blood that circulates in blood vessels) to more accurately estimate the risk of disease development or progression. This minimally invasive diagnostic approach could improve the diagnosis and treatment of patients with multiple myeloma in the future. This research is funded by the European Union under the SALVAGE (Operational program Johannes Amos Comenius) and LERCO (Operational Programme Just Transition) projects.
Graphene-based materials in nanomedicine
Call: 32nd Open Access Grant Competition, OPEN-32-24
Primary Investigator: Markéta Paloncýová
Institution: CATRIN, Palacký University Olomouc
Research Area: Biosciences
The Karolina and LUMI supercomputers are helping CATRIN scientists investigate how graphene materials interact with biomembranes using molecular dynamics simulations. Graphene derivatives have been studied in recent years for their prospects in nanomedicine due to their mechanical, electrical, and chemical properties. This project intends to test the biocompatibility and possible toxicity of reduced graphene oxide (rGO) when in contact with brain cells to use it as a stimulating electrode in treating Parkinson's disease. The simulations will be used to study how rGO interacts with membrane models in different dimensions and compositions and the interplay between the behaviour of rGO and lipids in membranes.
The project aims to develop new approaches combining molecular dynamics simulations at the atomic and coarse-grained level that can be extended to other models of biomembranes or nanomaterials, thus enabling systematic investigation of interactions at the interface of bio- and nanomaterials. This research is part of the HE RIA MINIGRAPH project to develop an rGO-based electrode for treating Parkinson's disease.
Learning Large Scale Object Manipulation Dynamics from the Video
Call: 32nd Open Access Grant Competition, OPEN-32-10
Primary Investigator: Georgij Ponimatkin
Institution: Czech Technical University in Prague
Research Area: Informatics

Researchers from The Czech Institute of Informatics, Robotics and Cybernetics (CIIRC CTU) will use the allocated computing time on the LUMI supercomputer to develop a large-scale dynamics model that can predict action trajectories in 2D space based on textual descriptions of desired actions. For example, given a photo of a person holding a water bottle and a caption like “pour the water into the cup,” the model will forecast the movement path of the action. These predictions can then guide robotic systems in performing tasks, offering a step forward in robotic manipulation. This research is supported by the ERC Advanced Grant "FRONTIER" GA no. 101097822.
Strategies of chemical doping for high-efficiency thermoelectricity in transition metal nitrides
Call: 32nd Open Access Grant Competition, OPEN-32-7
Primary Investigator: Luigi Cigarini and Dominik Legut
Institution: IT4Innovations
Research Area: Material Sciences
The image shows a comparison of the effects on electron transport caused by atomic vacancies and substitutional oxygen atoms replacing the central nitrogen atoms in an infinite nanowire structure composed of 5x5 crystal cells of scandium nitride.
Luigi Cigarini, Urszula D. Wdowik, and Dominik Legut from IT4Innovations will utilize the computational power of the Barbora, Karolina, and LUMI supercomputers to explore the thermoelectric properties of scandium nitride and chromium nitride — two promising materials for energy conversion technologies. The theoretical calculations will focus on the effects of defects and dopants in the crystal structures of these materials.
Thermoelectricity, the ability to convert temperature differences into electric voltage and vice versa, holds significant potential for improving energy efficiency in industries, vehicles, and household devices. The project aims to develop strategies to enhance the performance of cost-effective thermoelectric materials, paving the way for innovative energy solutions and advancing technological progress in energy efficiency. The research is supported by the Czech Science Foundation by the grant No. 23-07228S.
POL2PHASE
Call: 32nd Open Access Grant Competition, OPEN-32-28
Primary Investigator: William Shakespeare Morton
Institution: CEITEC
Research Area: Biosciences
The image shows the internal organization of a two-proteins undergoing LLPS. One component is colored yellow, while the second component is separated into grey (folded part of the protein) and red (disordered part of the protein). By studying these interactions, we can learn which are crucial for healthy cellular function, and what effects mutations might have on said function.
Liquid-Liquid Phase Separation (LLPS) is key for cellular function, as it allows proteins to be stored in specific areas within cells. This process is (mostly) driven by intrinsically disordered regions of proteins, which enable cells to quickly assemble or disassemble these clusters as needed. It’s like how we might store fruit in a fruit bowl; semi-contained but easily accessible. Improper control of these clusters can lead to neurodegenerative diseases, cancer, and other illnesses.
William Shakespeare Morton from CEITEC Masaryk University will use the Karolina and LUMI supercomputers to develop methods for studying protein clustering during LLPS. They will also apply machine learning and experimentally validate their results. The research is supported by the MSCA Postdoctoral Fellowship "POL2PHASE."
Dynamics of the Solar Corona in the Era of Data Intensive Observations
Call: 32nd Open Access Grant Competition; OPEN-32-57
Researcher: Sofya Belov
Institution: University of South Bohemia in České Budějovice
Field: Astrophysics
Sofya Belov and Petr Jelínek from the Department of Physics of the Faculty of Science of the University of South Bohemia in České Budějovice will leverage the computational power of the Karolina and Barbora supercomputers to study dynamic phenomena in the Sun’s atmosphere, such as solar flares, coronal mass ejections (CMEs), and the propagation of magnetohydrodynamic (MHD) waves.
The research aims to unravel the mechanisms behind the high temperature of the solar corona, the rapid energy release during flares, and the dynamics of CMEs. The supercomputers will enable high-resolution simulations and analyses. This research is part of the DynaSun project, funded by the EU Horizon Europe programme.
3D Modeling and Risk Assessment for Nuclear Facility Safety
Call: 32nd Open Access Grant Competition, OPEN-32-22
Researcher: Ivo Opršal
Institution: Czech Academy of Sciences
Research Area: Earth Sciences

Fig.: Simulated and observed spectral amplification (here called HVRS ratios) in the near-surface geological structure of the Mýtina maar in western Bohemia. Black: Observed data for two rarely perpendicular horizontal components ("150deg" represents amplified mode 1 oscillation at a frequency of 1.83 Hz, "60deg" mode 2 at a frequency of 1.91 Hz). In colour: Synthetic seismograms modelled by the finite difference method (using IT4I). The amplification of waves at the MYT001 station is about 10 times. Modified from Labuta et al., 2025, Fig. 6 a
IT4Innovations supercomputers (Karolina, LUMI and Barbora) will help scientists at the Czech Academy of Sciences better understand seismic tremors that can threaten key infrastructure such as nuclear power plants, dams, power lines, and pipelines. The research will focus on evaluating and numerically modelling the local amplification of seismic tremors caused by the geological structure of the underlying bedrock and near-surface geological structures in basin areas of the Czech Republic considered for potential nuclear power plants.
This seismic amplification is one of the key factors affecting seismic risk. The project aims to develop an optimal methodology to assess this amplification and to investigate all seismotectonic risks. The results of the research will be combined with geological data and the conclusions of previous studies into a regional model allowing more accurate prediction of seismic tremors and analysis of other potential hazards. Wave propagation numerical modelling using advanced computational tools (IT4I) will play a crucial role specifically in simulating seismic scenarios leading to the evaluation of the impacts of geological conditions on the amplification of earthquakes. This approach will allow the evaluation of the wider social and economic impacts of earthquakes, which can endanger human lives but may also cause damage to critical infrastructure. This will enable more detailed analysis and effective planning for its protection.
Reference:
Labuta, M., Oprsal, I., Landa, D.-A., Burjánek, J., 2025. Ambient Vibrations of a Deep Maar Resonator. Soil Dynamics and Earthquake Engineering, 188, Part B, 2025, 109072. https://doi.org/10.1016/j.soildyn.2024.109072
Optimisation of design and production processes of vertical pumps using modern technologies
Call: 31st Open Access Grant Competition; OPEN-31-33
Researcher: Tomáš Blejchař
Institution: IT4Innovations
Field: Engineering
The project of Tomáš Blejchař from IT4Innovations focuses on improving the design of vertical pumps using artificial intelligence and machine learning. Pumps are among the most used machines in industry and everyday life. Their efficient design is critical to reducing energy consumption, which is especially important for pumps running continuously, such as water and wastewater treatment plants, heating and air conditioning systems, etc.
Pump design is a complex process influenced by many input parameters and involves manual calculations followed by numerical simulations. This project aims to use neural networks and artificial intelligence to simplify pump design, specifically to automatically correct the initial rough calculations, allowing the optimal pump design to be found in a single step. This will save not only the energy and computational resources required for iterative numerical simulations but also the time required to find the optimal pump design.
This research is closely related to the project funded by the Trend programme of the Technology Agency of the Czech Republic (FW10010202).
Covalent Dative Bonding, H-Bonding, and Charge Transfer Complexes: Surprising Stability/Instability Trends with Increasing Solvent Polarity
Call: 31st Open Access Grant Competition; OPEN-31-51
Researcher: Pavel Hobza
Institution: Institute of Organic Chemistry and Biochemistry
of the Czech Academy of Sciences and IT4Innovations
Field: Material sciences
The project of Professor Pavel Hobza from the Institute of Organic Chemistry and Biochemistry of the CAS and IT4Innovations focuses on studying the effect of solvent polarity on the stability of covalent dative and non-covalent complexes.
To analyse these interactions, Professor Hobza's team will use the Karolina, Barbora, and LUMI supercomputers and modern laboratory methods. Solvation, the envelopment of ions by solvent molecules, plays a crucial role in supramolecular chemistry.
The research aims to gain a deeper understanding of the chemical bonds and interactions in different solvent environments, leading to the development of new technologies and materials necessary for solvation processes.
Many-body physics of van der Waals heterostructures from 2D materials
Call: 31st Open Access Grant Competition; OPEN-31-8
Researcher: František Karlický
Institution: University of Ostrava
Field: Material sciences
František Karlický and his team of nanostructure physicists from the University of Ostrava (nano.osu.cz) focus, among other things, on two-dimensional (2D) materials that have the potential for flexible and ultrathin functional devices such as future nanoelectronics and solar cells. They also investigate van der Waals (vdW) heterostructures formed by layering 2D materials and have unique electronic and optical properties.
They use computationally intensive multiparticle methods to simulate physical phenomena that traditional methods cannot capture. This research, funded by the Just Transition Operational Programme (LERCO), will contribute to a better understanding of vdW heterostructures and support further experimental research and technological applications.
Foundational Czech Language Model
Call: 31st Open Access Grant Competition; OPEN-31-52
Researcher: Petr Marek
Institution: Czech Technical University in Prague
Field: Informatics
Petr Marek from the Czech Technical University in Prague (CTU) plans to use the computational resources of the Karolina and LUMI supercomputers to develop a modern language model for the Czech language that will be able to understand, generate, and interact with written text.
This project will focus on creating a basic Czech language model with an emphasis on maximum efficiency, scalability, and performance, using state-of-the-art computing techniques and platforms such as CUDA, the open-source Transformers library from Hugging Face, and Hugging Face Accelerate.
The goal is also to eventually create a bilingual Czech-English version of the model, which could be extended to other Central European languages, inspired by advanced Phi language models. The CTU researchers plan to use a large dataset containing 350 billion Czech tokens.
In-silico insight into endosomal escape
Call: 31st Open Access Grant Competition; OPEN-31-26
Researcher: Martin Šrejber
Institution: Palacký University Olomouc
Field: Biosciences
Liposome delivery systems, especially lipid nanoparticles (LNPs), have played a key role in cancer chemotherapy, gene therapy, pharmacotherapy, and vaccine research in recent decades. LNPs play a key role in the targeted delivery of mRNA to vaccines, where they form a lipid carrier for mRNA fragments, thereby ensuring their safe transport into human cells. The project of Martin Šrejber from CATRIN at Palacký University in Olomouc aims to use the Karolina and LUMI supercomputers to investigate the complex processes involved in targeted drug delivery to the body using state-of-the-art computational methods. The research will focus on investigating the interaction of lipid nanoparticles with the plasma membrane, the process of endosome maturation, and the subsequent release of mRNA fragments. Endosomes are membrane "vesicles" formed by endocytosis and are crucial for transporting substances into the cellular environment. In the context of lipid nanoparticle drug delivery, the endosomal release process is critical for successful delivery of mRNA into the cellular environment. This research is part of the MINIGRAPH project funded by the European Union's Horizon Europe programme.
Optimizing ARPES experiments through AI: Achieving precise photon beam polarization with graphene calibration
Call: 31st Open Access Grant Competition; OPEN-31-35
Researcher: Ridha Eddhib and Ján Minár
Institution: University of West Bohemia
Field: Material sciences
Graphene and polarization detection: The figure shows the MAX 4 beamline setup, illustrating the key optical components involved. The probed Brillouin zone is highlighted, with a photon energy of 22 eV. The right side presents experimental circular dichroism patterns for different angles (alpha = 22, 37, and 45 degrees) using right- and left-circularly polarized light (RCP and LCP). These experimental results are compared with theoretical predictions, demonstrating good agreement across the different angles.
The EuSpecLab-ML supercomputing project, led by Prof. Ján Minár and his PhD student Ridha Eddhib from the New Technologies Research Center (NTC), University of West Bohemia, is set to revolutionize Angle-Resolved Photoemission Spectroscopy (ARPES) by harnessing the power of Machine Learning (ML) techniques. ARPES is a critical technique in condensed matter physics, providing deep insights into the electronic structures and quantum states of materials.
However, the precision of ARPES measurements critically depends on the accurate calibration of the photon’s beam polarization – a challenge that has long confronted experimentalists.
In this project, researchers aim to achieve 100% polarization accuracy by developing an advanced Neural Network (NN) model, based on PyTorch library. This model will be meticulously trained on datasets generated by the sophisticated one-step model of the SPRKKR (Spin-Polarized Relativistic Korringa-Kohn-Rostoker) code, renowned for its accurate ARPES simulation capabilities. The ase2sprkkr package will be employed for seamless interfacing with SPRKKR, enriching the AI model’s training data with high-fidelity simulations of graphene – a 2D material celebrated for its exceptional electronic properties and pivotal role in material science. To streamline and enhance the efficiency of the model training process, the project introduces SparkkFLOW, a novel workflow tailored for managing and analyzing ARPES simulation data. Coupled with the JobMaster workflow manager, SparkkFLOW enables the automated generation, organization, and sorting of simulation data, significantly reducing the time and computational resources required for model training. This integration of AI with cutting-edge computational tools allows for real-time prediction of optimal ARPES experimental conditions, ensuring that each measurement is conducted under the most precise polarization conditions.
The research leverages the high-performance computing resources of the supercomputer Karolina, part of the European High-Performance Computing Joint Undertaking (EuroHPC JU). The ultimate goal is to provide experimentalists with a robust tool to dynamically adjust their ARPES setups, thereby optimizing beamline time and enhancing efficiency at synchrotron facilities. Funded by the MSCA Horizon project and OPJAK, forming part of the EuSpecLab Doctoral Training Network, this research not only aims to elevate the quality and accuracy of ARPES experiments but also opens new avenues for exploring the electronic behaviors of advanced materials, including novel 2D systems and quantum materials. project is funded by OPJAK: Researchers are thankful for the support of the QM4ST project funded by Programme Johannes Amos Commenius, call Excellent Research, (Project No. CZ.02.01.01/00/22 008/0004572).
3D Reconstruction and Feature Matching Benchmarks
Call: 30th Open Access Grant Competition; OPEN-30-13
Researcher: Assia Benbihi
Institution: Czech Technical University in Prague
Field: Applied Mathematics
3D reconstruction, or 3D mapping, is a computer vision task that produces digital 3D models of a scene. The 3D models can take various forms, the most common being 3D point clouds and meshes. They allow intelligent systems to perceive the physical which is a pre-requisite for the system to localize itself in an environment, understand what surrounds it, and adopt an appropriate course of action. 3D mapping is technology central to many applications including autonomous navigation, virtual and augmented reality applications, 3D content creation for movies and games, urban and environmental planning, and the documentation of cultural heritage.
Typically, the mapping process first scans the scene with various sensors, (cameras or laser scanners), then integrates the data within an optimization process to produce a 3D map that faithfully replicates the real world. A natural question arises: how to measure the faithfulness of the 3D map, in other words, how to measure the mapping quality?
Evaluation benchmarks answer this question by hosting accurate 3D models of scenes that act as ’pseudo-ground-truth’ digital twins. Any 3D mapping method can then be evaluated by how faithful it is to this digital twin. Such an evaluation is a reliable proxy but the generation of pseudo-ground-truth maps requires prohibitive computations, which makes 3D mapping benchmarks challenging to produce.
This project proposes a novel 3D mapping benchmark focused on large-scale urban scenes that include famous Prague landmarks such as Old Town Square or The Prague Castle. Access to supercomputers facilitates this computationally heavy project, in which complexity resides in the intensive optimization that generates pseudo-ground-truth maps, the evaluation of state-of-the-art methods that rely on graphic card advancements, and the large scale of the benchmark.
Part of the released data, mainly the geo-located images, is the outcome of a previous Karolina project, OPEN-28-60 “The Prague Visual Localisation Benchmark”, and the resulting benchmark will be a catalyst for research in 3D mapping. This project is part of and funded by the GACR EXPRO project “A Unified 3D Map Representation” (23-07973X), of which one outcome is the 3D mapping method `Tetra-NeRF’ showcased in the video and that was facilitated by the Karolina OPEN-24-6 project.
Impact of binary evolution on the outcome of common envelope evolution in massive stars
Call: 30th Open Access Grant Competition; OPEN-30-50
Researcher: Camille Landri
Institution: Charles University
Field: Astrophysics
Stars in close binary systems evolve differently than isolated single stars. They undergo various types of interactions, significantly impacting their structure and evolution. For instance, it is common for one of the stars to donate some of its mass to the other. These phases of mass transfer may later become unstable, leading to the companion plunging into the interior of the donor star, and starting a phase of so-called "common envelope evolution". As the companion spirals into the inner layer of the donor, these layers can be ejected, and the binary system survives on very short orbit, often becoming a source of bright astrophysical phenomena and/or gravitational waves. Common envelope evolution is therefore an important process that has been extensively studied, but the impact of previous phases of binary evolution on common envelope evolution has yet to be properly assessed.
The evolution of stars, both single and in binary systems, occurs on timescales of billions of years, thus we have to rely on simulations to constrain these processes. In this project, we combine state-of-the-art 1D and 3D hydrodynamics simulations to model the complete evolution of a close binary system. Our simulations, performed on the supercomputers at IT4Innovations, will enable us to accurately characterize how preceding phases of binary evolution affect the final stages of the life of binary systems, which is extremely significant for research on common envelope evolution, stellar mergers, and the formation of short-period binaries.
This research is supported by the Horizon 2020 ERC Starting Grant ‘Cat-In-hAT’ (grant agreement no. 803158).
Discovery of Economic Opinions and Causal Relationships from Textual Data
Call: 30th Open Access Grant Competition; OPEN-30-3
Researcher: Jennifer Za Nzambi
Institution: Czech Technical University in Prague
Field: Informatics
Social media platforms are akin to an untapped gold vein harbouring a reservoir of public opinions, attitudes, and sentiments which, if realised, could revolutionise how public opinions are gathered and interpreted. This project introduces a novel method for extracting opinions about economic indicators and factor impacting society from social media texts by fine-tuning large language models, on datasets comprising of social media posts, comments and more. Through fine-tuning, language models can acquire the ability to understand and mimic the economic discourses within posts published on social media. This project’s value is threefold. First, it amalgamates carefully curated datasets through which the model can effectively learn domain-specificities and economic understanding on an advanced level. Second, it devises metrics based on perplexity comparisons of opposing statements which validate the model’s comprehension of economic texts, thereby measuring the model’s alignment with datasets it was fine-tuned on, and finally applies said models to datasets garnering results indicating that the model-based approach can rival, and in some cases outperform, survey-based predictions and professional forecasts in predicting trends of economic indicators. Beyond the scope of this study, the methods and findings presented could pave the way for further applications of language model fine-tuning as a complement, or potential alternative, to traditional survey-based methods.
This research is supported by the European Research Council (ERC) under the European Union’s Horizon 2020 research and innovation programme (grant agreement No 101002898).
Towards Robust End-to-End Diarization and Source Separation
Call: 30th Open Access Grant Competition; OPEN-30-22
Researcher: Mireia Diez Sánchez
Institution: Brno University of Technology
Field: Informatics
Speaker diarization (SD) is the task of automatically determining speaker turns in conversational audio, commonly known as the task that answers "who spoke when?". SD has several practical applications: indexing of audiovisual resources with speaker labels (for example, coloring subtitles depending on the speaker), allowing structured search and access to resources, meeting indexing, among others.
Besides, it is used as a preprocessing technique for other speech processing tasks, for example to allow speaker adaptation for automatic speech recognition (ASR) systems, also known as speech to text systems. Despite the big advances with large pretrained models such as the popular ChatGPT on conversational text processing, conversational audio processing is yet an extremely challenging task for machine learning approaches.
The recent development of neural network based end-to-end diarization (EEND) systems has boosted research in the field and shifted the paradigm on how to handle conversational speech. However, as most neural network based systems, EEND systems are data-hungry and difficult to train. In this project we plan to move the field forward by finding methods to optimize the training strategies; by combining the benefits of well-founded generative models with the powerful end-to-end approaches and by exploiting the synergies of the related speech processing tasks to enhance SD performance.
This research is closely related to several of the running projects at the Speech@FIT research group at the Faculty of Information Technology of the Brno University of Technology: NTT corporation, ROZKAZ, from the Ministry of Interior of the Czech Republic, and Eloquence, funded by Horizon Europe programme.
https://eloquenceai.eu/
Optical and magnetic properties of MXene-based quantum dots
Call: 30th Open Access Grant Competition; OPEN-30-18
Researcher: Barbora Vénosová
Institution: University of Ostrava
Field: Material Sciences

MXenes have attracted a lot of interest in the world of 2D materials due to their unique properties. MXenes are composed of transition metal atoms (M = Ti, V, Sc, Mo or Nb), carbon or nitrogen atoms (X), and terminal surface groups (T = -O, -OH, -F, -Cl and others) and have the general formula Mn+1XnTx. Due to the variety of M and X elements and the differences in surface and edge terminations, thousands of different MXene structures with unique properties can be prepared. For this reason, MXenes have become a rapidly expanding family of 2D materials. MXenes, with their characteristic planar structure, exhibit exceptional structural stability and good electrical conductivity. Their surfaces are tunable, and they possess a host of unique chemical properties. These features make them versatile, finding uses across a broad spectrum of applications. From biosensors and batteries to 10 nanometers in size) could improve or even create new properties. This is achieved by a combination of edge effects, surface, and quantum confinement.
The goal of our project is to control the tuning of MXene quantum dots (MXQDs) properties by modeling their size and structure. The first results show that the electronic and magnetic properties are strongly dependent on the size of the quantum dots. Based on these results, we want to investigate the optical and magnetic properties of different types of MXQDs in detail. First, we want to investigate the influence of surface functional groups on the optical properties using time-dependent density functional theory (TD-DFT). Subsequently, systematically study the different modeling options of MXQDs (different combinations of M, and X atoms with different functional groups) to tune the electronic, optical, and magnetic properties. This could provide opportunities for the preparation of new MXQDs structures with desired properties in many application areas (e.g. photonics, optoelectronics, and/or photocatalysts).
This research is supported by the European Union under the LERCO project (number CZ.10.03.01/00/22_003/0000003) via the Operational Programme Just Transition.
Towards sub-chemical accuracy of ab initio atomistic simulations of fusion enthalpies for molecular crystals
Call: 30th Open Access Grant Competition; OPEN-30-57
Researcher: Ctirad Červinka
Institution: University of Chemistry and Technology, Prague
Field: Material Sciences
Organic molecular materials are ubiquitous, spanning diverse areas from pharmaceuticals, over fertilizers, explosives to semiconductors. Fabrication of final products in those fields often requires a sufficient solubility of relevant precursors, and subsequently, availability of a viable crystallization scheme of the target compound from solution. Understanding the melting and crystallization processes of such materials is important to design novel efficient fabrication techniques and to localize the limits of operation windows, e. g. temperatures and pressures at which a target material maintains its desired properties.
Computational modelling of crystal structures and their melting with a full resolution of individual atoms can significantly contribute to this understanding and it goes hand in hand with our capabilities of predicting material solubility, thermal stability and other important properties. Existing protocols based on classical molecular-dynamics simulations fail to reach the chemical accuracy of such predictions, and furthermore, they offer only a limited predictive power. Development of accurate and widely transferable quantum-chemical models of the melting parameters for molecular materials will thus significantly contribute to the material research.
Current project exploits the computational capacity of the IT4Innovations infrastructure to search for optimal ways of incorporating modern theoretical models to describe mutual interactions of molecules in bulk solid or liquid materials.
Our aim is to establish a high-throughput computational methodology, being sufficiently accurate at the same time, for an initial screening of material properties. In future, it should be performed at the initial stage of material research for a vast number of candidate materials, enabling to preselect the most promising targets exhibiting the properties desired for a particular application (e. g. solubility of drugs, or thermal stability of semiconductors). Only then, a detailed experimental refinement and verification narrowed only to the most promising targets could follow, which would render material research more efficient by circumventing large portions of experimental work that can be very costly and labor-demanding.
3D reconstruction for object manipulation
Call: 29th Open Access Grant Competition; OPEN-29-7
Researcher: Varun Burde
Institution: Czech Technical University in Prague
Field: Informatics
Manipulating objects is a core capability for many robots. A pre-requisite for manipulation is object pose estimation, where the goal is to estimate the position and orientation of the object relative to the robot, as this information informs the robot on how to interact with the object (how to approach, how to grasp, etc.). The current state-of-the-art object pose estimation algorithm relies on some representation to estimate the object pose. Obtaining highly accurate CAD models can be challenging and time-consuming and may require professional hardware such as a laser scanner. Our previous result showed that state-of-the-art methods can reconstruct simple objects well, but to accommodate a wider variety of objects, the current generation of algorithms needs to be significantly improved along multiple axes, such as runtime, robustness to environmental change, and accuracy of reconstruction/representation. Our research aims to accelerate 3D reconstruction techniques and leverage modern implicit object representation, enabling real-time deployment in robotics and accommodating more complex objects. IT4Innovations computing infrastructure provides a platform to work and train with large-scale datasets. The research is part of the Student grant competition of CTU No.: SGS23/172/OHK3/3T/13.
Exploring the Intrinsically Disordered Domains in p53 Protein
Call: 29th Open Access Grant Competition; OPEN-29-55
Researcher: Amina Gaffour
Institution: Charles University, Faculty of Pharmacy in Hradec Králové
Field: Material Sciences
The p53 tumour suppressor protein is a critical cell cycle arrest and apoptosis regulator. Unfortunately, the molecular mechanisms underlying p53 function are not fully understood, particularly in intrinsically disordered regions (IDR), which have been observed to play an essential role in the protein’s folding, stability, and, most importantly, function. In this study, we will implement molecular dynamics to investigate the IDRs in p53, focusing on phosphorylation sites, ion concentration, the tetramerization process on secondary structure, and the function of the tumour suppressor protein. Preliminary findings are promising, showing a well-established effect on small trajectories from the concentration of ions and an alteration in how phosphorylated residues behave. Our findings will provide new insight into the protein's inner workings, which may provide key information for developing new therapeutic strategies for treatment.
Antimicrobial Selective Peptides To Induce Cell rupture (ASEPTIC)
Call: 29th Open Access Grant Competition; OPEN-29-23
Researcher: Timothée Emmanuel J. Rivel
Institution: CEITEC
Field: Biosciences
Antibiotic-resistant bacterial strains pose a global health threat, demanding innovative solutions. Antimicrobial peptides (AMPs) offer a promising therapeutic avenue by disrupting bacterial membranes, particularly through pore formations. In this project, we introduce a novel method to quantify the energetic cost of AMP-assisted pore formation using molecular dynamics simulations. Our primary goal is to optimize peptide sequences by reducing the energy barrier of pore formation for bacterial membranes – thus increasing AMP efficiency. Our secondary goal is to preserve a high barrier for mammalian membranes – thus reducing AMP toxicity. We achieve this by tailoring peptides to exploit the distinctive lipid content in both these membranes, and we validate our results using leakage assays on lipid vesicles with corresponding lipid contents. This project requires intensive computational resources that LUMI-C, the fastest supercomputer in Europe, can provide. Indeed, this project relies on many free energy calculations, that sums up to hundreds of simulations of the process of pore opening.
This research is supported by the project “MSCAfellow5_MUNI” (No. CZ.02.01.01/00/22_010/0003229) funded by the European Regional Development Fund.
The use of computationally expensive DFT functionals for salt-cocrystal systems investigation
Call: 29th Open Access Grant Competition; OPEN-29-25
Researcher: Simona Chalupná
Institution: University of Chemistry and Technology, Prague
Field: Material Sciences


There is currently a wide range of different solid forms of pharmaceutical substances. One of these forms are pharmaceutical salts, which are commonly used to formulate active pharmaceutical ingredients (APIs). Approximately half of the drugs found on the market today are in the form of salts. Another solid form that is increasingly used in the formulation of pharmaceuticals is a cocrystal. The difference between these two forms is due to the position of only one atom - hydrogen. The exact position of this hydrogen, and hence the type of solid form, is crucial, as pharmaceutical companies must disclose it in patent and registration documentation, as required by medical authorities. Since the difference between the salt and the cocrystal is so small, it is interesting to conduct research into new methods of identifying the position of hydrogen.
This project deals with the possibility of distinguishing between salts and cocrystals by means of a calculation based on electron density functional theory (DFT). DFT describes electrons as glue poured between atomic nuclei. A functional is a mathematical function that describes the behaviour of such glue. The functionality and accuracy of this computational solution must be tested on a large number of substances (on the order of hundreds of structures), and subsequently, it is necessary to deal with those structures where the calculation does not agree with the experimental results. Thanks to IT4Innovations' allocated computational resources, this task can be performed using state-of-the-art methods, even if they are extremely computationally expensive.
Slama – Slavonic Large Foundational Language Model for AI
Call: 29th Open Access Grant Competition; OPEN-29-48
Researcher: Aleš Horák
Institution: Masaryk University
Field: Informatics
The Slama (Slavonic Large Foundational Language Model for AI) project aims to create a new foundational language model focusing on the main Slavonic languages with Latin script (Czech, Slovak, Polish, ...). The project's primary goal is to explore the performance differences between state-of-the-art pre-trained multilingual models (where English texts represent the majority of training data) and a model tailored specifically to the Slavic language group. The research will focus on developing generative models, the training data of which is more balanced in favour of the Slavonic language group rather than English. Therefore, the new model should provide better results when using AI tools processing mainly Slavonic languages. The resulting foundational model can then be easily applied to various AI tasks.
Concrete Fracture: A meso-level approach
Call: 29th Open Access Grant Competition; OPEN-29-13
Researcher: Petr Miarka
Institution: Institute of Physics of Materials of the Czech Academy of Sciences
Field: Engineering
Schematic illustration of the heterogeneous inner structure of concrete considering various aggregates and pore sizes including 3D numerical.
The fracture of concrete is a complex mechanism influenced by its highly heterogeneous inner structure: matrix/cement paste, aggregates, and pores. Aggregates and cement paste do not represent an ideal connection, which is often considered the weakest link within the material. This often results in certain practical limitations. In concrete, which uses Portland cement as the binder, the behaviour of this material interface is relatively well investigated. Recently, material science has set its focus on the design of non-cementitious binders, which have a significantly lower carbon footprint compared to cement. However, the damage mechanisms of these modern materials can differ significantly from conventional concrete.
The computational resources at the Barbora supercomputer at IT4Innovations are used for creating complex numerical models that, in detail, consider this natural material's heterogenous inner structure. The obtained results then allow for the understanding of the onset of damage at the paste/aggregate interface and explain the role of pores during the damage evolution due to static or cyclic load. Understanding the damage evolution can contribute to faster applications of these alternative binders in structural engineering.
Structure Elucidation of Cu2O Photocatalyst Surfaces via Machine Learning
Call: 29th Open Access Grant Competition; OPEN-29-33
Researcher: Christopher Heard
Institution: Charles University in Prague
Field: Material Sciences
Cuprous oxide (Cu2O) is a material with promising applications in photo(electro)catalysis, green fuels, and solar energy production. However, its performance depends on the structure of its surface, which can change under different conditions, such as temperature, pressure and the presence of various naturally occurring adsorbate molecules. To elucidate the atomic-level morphology of Cu2O surfaces and thus understand its reactive properties, advanced simulation techniques are required, which are able to span the complexity and size of the system adequately.
This project involves the development and application of machine learning potentials (MLPs) for fast and accurate modelling of the structure and dynamic behaviour of Cu2O. It will leverage the computational power of supercomputers to generate a sufficiently large and reliable dataset of surface structures and temperature-dependent surface dynamics. The MLPs will be trained via quantum chemical calculations and validated against both high-level calculations and state-of-the-art experimental data and applied to understanding the atomistic nature of this promising catalyst.
High Performance Language Technologies (HPLT)
Call: 28th Open Access Grant Competition; OPEN-28-66
Researcher: David Antoš
Institution: CESNET
Field: Informatics
Large language models (LLMs) are behind recent progress in Artificial Intelligence, especially in using natural language when communicating with computers. Pre-trained LLMs are in regular use by chatbots and search engines. Moreover, they make recommendations, classify speech and documents, and make many similar applications possible. LLM training is the domain of a few large companies, which usually do not pay much attention to reproducibility, bias minimisation, and energy efficiency, as well as equal treatment of all languages.
The goal of the HPLT project, coordinated by Charles University in Prague and supported by the Horizon Europe programme is to train open language models for over 50 languages. The project will ingest over 7 PB of archived web pages, parallel corpora, and other sources. Using IT4I computational resources, the largest collection of open, reproducible language and translation models will be built. The project will keep track of how the data has been extracted and how the models have been built, ensuring the highest standards of open science, reproducibility, and transparency.
Parkinson's disease is a neurodegenerative disorder with no known cure. In this project, a research team from the Department of Physical Chemistry and the Laboratory of Growth Regulators at Palacký University Olomouc will try to develop disease-modifying therapy agents for sporadic Parkinson's disease using molecular modelling methods. The team will use collections of ligands from various databases, such as DrugBank and the Human Metabolome Database. These ligands will then be used in screening of selected cannabinoid receptors and butyrylcholinesterase, which are likely to play a significant role in influencing neuronal degenerative processes in in-vitro models associated with sporadic Parkinson's disease. By molecular docking, it will be possible to identify suitable ligands in advance and thus reduce the number of compounds that will need to be tested. This research is part of the GACR project No. 23-05389S entitled "Novel CB2 and BChE modulators against Parkinson's disease and related pathologies."
Multi-Document Summarization from Scientific Literature
Call: 28th Open Access Grant Competition; OPEN-28-72
Researcher: Martin Dočekal
Institution: Brno University of Technology
Field: Informatics
Never in history have so many scientific papers been published as today. This fact makes it difficult even for experts to keep up to date, and it is relatively easy to overlook relevant information. Today, it is common for articles to be written summarising the state of the art in a particular field or for authors to set aside a special section in their article summarising related work. These texts make it easier to see the information in a broader context.
Producing such texts requires considerable human effort. However, thanks to advances in machine learning, it is possible to develop models to help with their production or to allow the user to create summaries on demand. Martin Dočekal's project aims to use the IT4Innovations computing infrastructure to train a neural network capable of generating summaries of a given group of scientific articles.
With the rapid development of nanotechnology utilising biomolecules capable of transferring electrical charge, new questions have emerged regarding our understanding of these processes. While in biology electrons jump between redox sites, when the molecules come into contact with metal surfaces, the electrons seemingly pass through the entire molecule without even noticing these redox centers. To understand why this change from the hopping to the tunnelling mechanism of charge transfer happens, we study electronic states and transport by quantum computer simulations. Thanks to the IT4Innovations Supercomputing Center, we can perform computationaly intensive calculations on large-scale models of protein junctions. These will allow us to gain detailed insight into these systems and identify key factors affecting charge transfer, which is also important for the further development of nanobioelectronics.
Impact of urban surfaces on regional scale rain and cloud patterns
Call: 28th Open Access Grant Competition; OPEN-28-9
Researcher: Peter Huszár
Institution: Charles University in Prague
Field: Earth Sciences

It is well known that the earth's surface significantly impacts weather and climate, i.e., it matters whether the surface consists of forests, fields, water, or built-up areas. In this respect, urban sprawl has an unquestionable impact.
The impact of urban sprawl on essential meteorological variables such as temperature (the well-known urban heat island phenomenon) and the wind is well-mapped. However, the effect on water vapour and its transport and circulation, i.e., cloud formation and precipitation, is still poorly understood. There are indications that cities can alter the direction of movement, intensity, and overall life cycle of storm clouds. However, the long-term climatological impact of storm clouds is unknown.
The project is aimed at quantifying the long-term impact of urban areas. Using a regional climate model (WRF) applied over Central Europe for a 10-year period (2008-2017), it aims to calculate the average impact on variables such as humidity, cloud cover, rainfall intensity, etc. The research follows a long-term research focus of the Department of Atmospheric Physics, Faculty of Mathematics and Physics of Charles University, on assessing the overall impact of urban areas on the atmosphere. The research at the Department is led by the principal investigator of this project.
"Single atom catalysis" is a type of heterogeneous catalysis in which metal atoms are dispersed as single atoms on the surface of the support material. It has gained considerable attention in recent years due to its potential advantages over traditional catalysts, such as increased catalytic activity, better stability, and generally lower costs. This research project aims to investigate the stability and efficiency of single-atom catalysts anchored on 2D materials and understand the relationship between the stability of the active site and the efficiency of selected catalytic reactions. Density functional theory (DFT) is used for the calculations using finite and infinite models with periodic boundary conditions. The results of this research will significantly impact the development of more efficient and cost-effective catalysts for various industrial applications.
Organic molecules with inverted singlet-triplet gaps
Call: 28th Open Access Grant Competition; OPEN-28-50
Researcher: Libor Veis
Institution: J. Heyrovsky Institute of Physical Chemistry of the Czech Academy of Sciences
Field: Material Sciences
Organic electroluminescent diodes (OLEDs) form the basis of modern digital displays. To maximise their efficiency, they are made up of molecules with a small energy gap between the non-luminous triplet and luminous singlet excited states. The latest design of OLED materials (5th generation) features molecules with a negative energy gap, i.e., the excited singlet state has energy lower than the triplet state (INVEST molecules). In this case, the efficiency can reach
100 %.
The project aims to test the accuracy of our developed computational methods for adiabatic coupling on known INVEST molecules and find an optimal computational protocol for searching new 5th-generation OLED material candidates. The research is funded by the Grant Agency of the Czech Republic (GACR project No. 22-04302L).
Post-dynamical in-spiral common envelope evolution
Call: 27th Open Access Grant Competition; OPEN-27-28
Researcher: Damien Lucien Michael Gagnier
Institution: Charles University in Prague
Field: Astrophysics
Common envelope evolution is a phase in the life of binary stars when a giant star engulfs its more compact companion star. This companion then rapidly falls towards the core of the giant star and eventually ejects the giant star's envelope of gas. After the gas envelope is ejected, a new binary system composed of the cores of the two stars remains. The properties of the cores after common envelope evolution depend on the preceding complex interaction between the two cores and their shared envelope. The interaction between the two cores may lead, for example, to supernovae or to the emission of gravitational waves.
In this project, Gagnier will perform the first magnetohydrodynamics simulations dedicated to the late phase of common envelope evolution, and study how magnetic fields are amplified and how they affect the dynamics of the envelope and the orbital evolution of the binary.
This research will support the "Cat-In-hAT" project funded by the EU Horizon 2020 programme.
Experiments measuring particle collisions in Large Hadron Collider (LHC) at CERN require huge computing capacity for data analysis and Monte Carlo simulations. The computations for LHC experiments are based on the idea of distributed computing in centres around the world.
We aim to use the allocated computational resources of IT4Innovations to simulate interactions of particles produced by collisions of protons or lead nuclei in the ATLAS detector. This is a computationally intense part of the process used by the ATLAS experiment to investigate microworld physics, i.e., what are the basic building blocks of matter and how they interact. One of the greatest achievements of the ATLAS experiment was the discovery of the Higgs boson. The Nobel Prize in 2013 was awarded to theorists who predicted it.
We already created a well-working environment for job submissions to IT4Innovations supercomputers. Jobs are sent automatically by a production system, and optimisation of CPU usage was done using HyperQueue developed by IT4Innovations.
Accuracy and precision for extended systems X
Call: 27th Open Access Grant Competition; OPEN-27-22
Researcher: Jiří Klimeš
Institution: Charles University in Prague
Field: Material Sciences
Many molecules can crystallise in different crystal structures, called polymorphs. For example, glycine can form β a γ structures, shown in the figure. It is important to know the polymorphs of pharmaceutically active molecules to avoid crystallisation in an unwanted structure. Computational methods based on quantum mechanics have been very useful to determine the structures and energies of possible polymorphs.
Within the project, we will consider two aspects of crystal energy calculations. First, we will test a method we have developed to reduce the error caused by neglecting core electrons in the calculations. Second, we will test the effect of different numerical parameters on the calculation of polymorph energies. The data obtained will lead to achieving higher reliability of crystal energy calculations and reduced computational time required to obtain the results.
Our long-term work goal is to develop methods for reliable predictions of the cohesive properties of molecular solids. Our research is supported by ERC within the APES grant (Accuracy and Precision for molecular solids, Horizon 2020 No. 729721).
Earth´s polar regions have been one of the most affected by recent climate change. Accelerated glacier melt, sea ice extent reduction, and changes in snow cover dynamics are among the most prominent impacts. Consequently, sensitive polar ecosystems are forced to adapt themselves to changing conditions.
The main goal of our project is to run a simulation of the climate in the Antarctic Peninsula region in the period 2000–2100. This area, where also the J. G. Mendel Czech Antarctic Station is located on James Ross Island, is characteristic of the glaciers' extremely high sensitivity to predicted air temperature changes.
The climate evolution will be simulated in a high spatial resolution by the WRF model. This allows better representation of local complex topography on the climate compared to available global models output. A smaller part of the available computational resources will be used for a very detailed simulation of meteorological conditions and snow cover processes in the study area.
Climate variability and atmosphere-glacier interaction on James Ross Island, Antarctica
Call: 27th Open Access Grant Competition; OPEN-27-14
Researcher: Michael Matějka
Institution: Masaryk University
Field: Earth Sciences

Population genomics of gray wolf in Central Europe
Call: 27th Open Access Grant Competition; OPEN-27-33
Researcher: Sára Simandlová
Institution: Charles University in Prague
Field: Biosciences
During the 21st century, the population of the common wolf in Central Europe has been slightly rising. At the same time, the methods for obtaining genetic data from animal populations are improving over time. Pavel Hulva's laboratory is responsible for genetic monitoring of the wolf in the Czech Republic and Slovakia and is a member of several international consortia dealing with wolf genetics. Therefore, we have a large number of samples, including tissues from dead individuals, which are suitable for genomic analyses. As part of this research, we are monitoring whether wolf populations across Central Europe are only co-existing or interbreeding. Furthermore, we estimate the effect of landscape fragmentation on genetic variation and the emergence of possible adaptations in the genome. Due to the data and computational demands of comparative and population genomics, we decided to participate in a grant competition. As a result, we are now proud users of the Karolina, Barbora, and LUMI-C supercomputers.
The interplay between magnetic fluctuations and superconductivity is one of the central issues in unconventional superconductors such as iron-based pnictides/chalcogenides, high-TC cuprates, and newly discovered uranium-based heavy-fermion systems featuring signatures of the spin-triplet Cooper pairing mechanism. Indeed, compounds belonging to the U-Te system that exhibit both strong electron correlations and magnetism are considered as promising candidates for realizing the chiral-triplet topological superconductivity, and hence they are materials of interest in quantum computing. Their unique properties are expected to be dramatically changed by external pressure and magnetic field.
The present research addresses exploration and understanding of the unconventional superconducting behaviour under external pressure of some selected binary compounds from the U-Te phase-space. The results of this project can deliver basic knowledge relevant also for other materials with unconventional types of superconducting pairing and topological superconductivity, which can find application in future quantum technologies.
This research will support the ongoing experimental studies performed within the Czech Science Foundation (GAČR) project No. 22-22322S entitled Unconventional superconductors under extreme conditions (co-PI Dr Dominik Legut, IT4Innovations).
Interplay between magnetism and superconductivity in the U-Te system under extreme conditions
Call: 27th Open Access Grant Competition; OPEN-27-37
Researcher: Urszula D. Wdowik
Institution: IT4Innovations
Field: Materials Science

Boron-containing catalysts for alkanes oxidative dehydrogenation
Call: 26th Open Access Grant Competition; OPEN-26-42
Researcher: Ota Bludský
Institution: Institute of Organic Chemistry and Biochemistry
of the Czech Academy of Sciences
Field: Material Sciences

Light olefins (alkenes) are important building blocks of the chemical industry as they are raw materials for the production of polymers, fuel additives, and other important substances. Their global consumption is steadily increasing. In 2019, ethylene and propylene consumption reached 160 and 115 million tonnes, respectively, and is expected to grow by 3.5-4% year-on-year over the next decade. The main objective of this project is to understand the nature of the active sites in boron-based catalysts for the selective oxidative dehydrogenation (ODH) of light alkanes (ethane, propane) to the corresponding olefins. The combination of experimental and theoretical approaches is essential for a deeper analysis of the observed measurements. The IT4I infrastructure plays an important role in theoretical calculations where conventional computers are not sufficient in capacity (ab initio molecular dynamics).
In spite of modern scientific advances, only a tiny fraction of plausible molecules have been discovered to date. Tandem mass spectrometry is a powerful technique enabling the identification of molecules present in biological samples. For each molecule, it measures a mass spectrum – a set of fragments of the molecule represented in terms of their masses. However, existing methods that attempt to arrange the fragments into the whole unknown molecule are extremely limited since they rely on narrow annotated libraries. In our research, we propose to break the limitation with self-supervised deep learning applied over hundreds of millions of unannotated mass spectra on the Karolina supercomputer. We train a large Transformer-based neural network to restore masked parts of spectra, which forces the network to learn the underlying structural properties of molecules without any annotations.
Interpretation of mass spectra with self-supervised machine learning
Call: 26th Open Access Grant Competition; OPEN-26-5
Researcher: Roman Bushuiev
Institution: the Institute of Organic Chemistry and Biochemistry of the Czech Academy of Sciences
Field: Biosciences

Dust feedback effect on the migration of accreting low-mass planets in dusty and magnetised disks
Call: 26th Open Access Grant Competition; OPEN-26-29, multiyear
Researcher: Raul Chametla
Institution: Charles University in Prague
Field: Astrophysics

Planets are believed to be born and migrate within a disk of gas and dust which orbits a Sun-like star. Analytical and numerical models of ideal gas disks (without any extra perturbation in the gas density and without considering dust in the disk) predict a fast migration of Earth-like planets towards the central star in less time than the lifetime of the protoplanetary disk. If this really happened, the low-mass planets (including our own) should have to fall towards the central star hopelessly. However, this situation may be different when dust and density perturbations are included in the gas disk model.
The main objective of this study is to know the effect of dust on the migration of Earth-like planets embedded in gas and dust disks through three-dimensional (3D) high-resolution hydrodynamical (HD) and Magnetohydrodynamical (MHD) multifluid simulations. Our approach considering more sophisticated disk models, which may include density perturbations due to the magnetic field in the disk and gas-dust accretion from the planet, can produce new possible solutions to the rapid inward migration problem.
Producing safe and clean energy is one of the main challenges of the energy crisis and climate change. Our project at IT4I is motivated by a recent successful experiment at the National Ignition Facility in the USA, where laser radiation was used to ignite thermonuclear fusion. However, to produce safe and clean energy through inertial fusion, the energy gain needs to be increased many folds.
To increase the energy gain, it is necessary to suppress the undesirable phenomena that arise in the plasma when the laser interacts with the fuel target. One way to influence the occurrence of these phenomena during the interaction is to apply an external magnetic field of suitably chosen geometry and strength. In this project, we study the effect of external magnetic fields on the laser absorption in the plasma through extensive numerical simulations, as it is a key factor in improving the fusion energy gain.
Deciphering the role of an external magnetic field
on laser-plasma interaction
Call: 26th Open Access Grant Competition; OPEN-26-44
Researcher: Martin Jirka
Institution: the Czech Technical University in Prague
Field: Physics

Structural dynamics-based design of compounds targeting Alzheimer’s disease
Call: 26th Open Access Grant Competition; OPEN-26-50
Researcher: Jan Mičan
Institution: Masaryk University
Field: Life Sciences

With aging population, Alzheimer’s disease surges like a modern epidemic against which no medicine exists. Jan Mičan, David Bednář, and Jiří Damborský, in collaboration with colleagues from the University of Cambridge, aim to design medicines targeting the motion of a small protein named amyloid beta 42.
They will use the computational time of 62 thousand nodehours supplied by IT4Innovations to simulate the motion of amyloid with candidate medicines. Using the VAMPNet approach, they will assess whether the amyloid is more resistant to forming toxic oligomers in the presence of the medicine.
This project aims to develop an effective and safe medicine for Alzheimer’s disease and accelerate the mapping of biomolecules' motion. This can help design medicines for other diseases, such as Parkinson’s disease and other amyloidoses, as well as knowledge of what the motion of molecules affects in our body.
The OPEN-26-32 project is supported by the international TURBAN (Norwegian Funds, www.project-turban.eu) research project, which deals with air quality and thermal comfort in cities. Within the project, we are working on the development and refinement of the PALM model, which can simulate processes at the urban canyon level, and its application in practice. The PALM model is based on the principle of large eddy simulation (LES). LES models can provide detailed information about the airflow, including the turbulent component ("eddies"), at high spatial resolution, which is computationally demanding. In order to validate the model under realistic conditions, a network of measurement sensors, a microwave radiometer, and a Doppler LIDAR was commissioned in the centre of Prague in 2022. In this project, we are also exploring ways to combine model outputs, acquired measurements, satellite imagery, and results from simpler models. Thanks to IT4I, we have obtained enough computational resources on the Karolina supercomputer to cover a significant part of the simulations planned for the TURBAN project.
PALM simulations for the project TURBAN
Call: 26th Open Access Grant Competition; OPEN-26-32
Researcher: Jaroslav Resler
Institution: the Insitute of Computer Science of the Czech Academy of Sciences
Field: Earth Sciences

Machine learning for vacancy formation probability prediction in nitrogen-doped graphene – data collection for algorithm training
Call: 26th Open Access Grant Competition; OPEN-26-38
Researcher: Dagmar Zaoralová
Institution: IT4Innovations
Oblast: Material Sciences

Nitrogen-doped graphenes (NG) are very interesting materials that are applicable in many research domains. Previous studies have shown that the properties of NG depend on the amount of nitrogen embedded and the number of defects in the crystal lattice. Therefore, by fine-tuning the atomic structure of NG we could obtain materials with properties desirable for specific applications. However, it is almost impossible to manually design all possible forms of the NG atomic structure. Fortunately, machine learning approaches offer ways to address this problem. In order to train a sufficiently accurate algorithm capable of predicting the structure and properties of NG, it is necessary to collect sufficient information about NG with different atomic structures, which we plan to do through Density Functional Theory (DFT)-based calculations. We believe that the obtained algorithm will help in selecting probable NG structures that are interesting for further applications.
Applications of Deep Neural Network based Urban Change Detection using Remote Sensing
Call: 25th Open Access Grant Competition; OPEN-25-24
Researcher: Georg Zitzlsberger
Institution: IT4Innovations
Field: Earth Sciences
Remote sensing describes the observation of events from distance, like satellites orbiting around earth, used to image the earth surface. This can happen in different ways, like taking multispectral images or using radar.
The former is a sophisticated digital camera that also captures the non-visible light spectrum, like infra-red or ultra-violet. The latter, called Synthetic Aperture Radar (SAR), does not need sunlight to illuminate the scene but emits a radar signal and detects its reflection which works at high resolutions and also during darkness.
In our research, we combine both observations together, using different satellites, like ERS-1/2 & Landsat 5 TM (1991-2011), or Sentinel 1 & 2 (2017-today). In combination with a deep neural network (artificial neural network), we identify urban changes, i.e. construction/destruction of buildings or roads. In our work, we use almost all observations available to enable a constant and automatic monitoring of cities or rural areas.
The project PROP is focused on the studying of the effect of the propeller slipstream on the performance of the wing and its parts by means of the high-fidelity CFD simulations to design the high-performance wing. With the need to fulfil the requirements of the reduction of the fuel consumption and emissions and increase of the efficiency, the utilization of propeller-driven aircrafts with wing-mounted engines and laminar wing technology becomes increasingly attractive. The knowledge about the propeller-wing interference needs to be investigated in more detail. This includes understanding of unsteady slipstream phenomena with transient effects on the wing. Parameters like the positions of the propeller with respect to the wing will be investigated too. For low-speed high lift conditions, the increased efficiency of high lift devices due to the impact of the propeller slipstream will have to be considered during the design phase of the wing segments affected by the propeller.
CACHE challenge
Call: 25th Open Access Grant Competition; OPEN-25-38
Researcher: Pavlo Polishchuk
Institution: Palacky University Olomouc
Field: Biosciences
Searching for new drugs is very challenging due to the very large number of possible chemical compounds which may be investigated. Computational approaches may predict the most promising candidates to be tested and greatly speed up research. However, there are a lot of approaches and more advanced ones are very computationally demanding.
The CACHE challenge was organized by an international consortium of researchers from academia and industry to prospectively evaluate computational approaches and pipelines developing in leading research groups all over the world. The task is to discover new ligands of a specific domain of leucine-rich repeat kinase 2. This protein is linked to Parkinson's disease and the discovered ligands will offer new opportunities in anti-Parkinson research. All outputs will be contributed to the public domain to support open scientific researches.
Nanoscopic devices consisting of quantum dots connected to superconducting electrodes are objects of study for a long time due to their applications in quantum computing. The advancements in experimental methods lead to the existence of increasingly complex structures and this is followed by the development of theoretical computational methods to describe their behaviour.
The topic of this project is the theoretical study of such devices consisting of a pair of quantum dots connected to superconducting and metallic electrodes. Their importance lies in their capability to create so-called entangled electron pairs with applications in quantum computing. One possibility of how to generate such pairs is the thermoelectric effect, in which the current is generated by the difference between the temperatures of the electrodes. The aim of this project is to simulate this behaviour using the quantum Monte Carlo method, which can reliably describe the important effects of electron correlations.
Stellar transits through accretion flow onto supermassive black holes
Call: 25th Open Access Grant Competition; OPEN-25-47
Researcher: Petra Suková
Institution: Astronomical Institute of the Czech Academy of Sciences
Field: Astrophysics
In the vicinity of supermassive black holes, which are found at the centres of galaxies, there may be many smaller stellar-sized objects - stars themselves, neutron stars, and smaller black holes - in addition to gas and dust. As the compact object moves, it interacts with the accretion flow and disturbs it. Since the radiation we observe from active galactic nuclei comes from extremely heated gas, changes in its motion and distribution can lead to observable effects such as periodic changes in brightness or detectable very fast outflows.
Using general relativistic magnetohydrodynamic simulations, we study the interaction between the passing object and the accreting plasma to identify typical features of such systems and to be able to detect them from the data provided by X-ray satellites.
Extramedullary Disease (EMD) is an aggressive form of the second most common hematologic malignancy, multiple myeloma (MM). In standard MM, malignant plasma cells (PC; terminally differentiated B cells) proliferate clonally in the bone marrow, eventually leading to anaemia, myelosuppression, bone lesions, kidney failure, and other clinical aftereffects resulting from paraproteinemia.
EMD is characterized by malignant PCs independent of the bone marrow microenvironment. This acquired property allows tumor PCs to infiltrate other tissues and organs leading to a significantly worse prognosis. In our study, we use IT4Innovations computational resources combined with RNA/DNA data to study the molecular characteristics and tumor microenvironment of EMD, allowing us to better understand the pathology and resistance of this aggressive disease.
Resistance and pathogenesis of extramedullary multiple myeloma
Call: 25th Open Access Grant Competition; OPEN-25-50
Researcher: David Žihala
Institution: University of Ostrava
Field: Biosciences

Estimating the poses of objects from images
Call: special call within the 24th Open Access Grant Competition; OPEN-24-10
Researcher: Valdimír Petrík
Institution: Czech Technical University in Prague
Field: Informatics
Our goal is to enable automatic learning of robotic manipulation skills, such as assembling a piece of furniture, by watching videos, for example, downloaded from YouTube. The camera type and its calibration are unknown for such videos, making it challenging to estimate the poses of the objects in the recorded scene. We address this challenge by FocalPose, a neural render-and-compare method designed for jointly estimating the relative pose between the camera and the object together with the camera focal length given a single RGB input image depicting a known object. FocalPose is trained on millions of synthetically generated images using several computing nodes on the Karolina supercomputer resulting in a robust estimator that works on noisy recordings of cluttered scenes. The work was published at CVPR 2022, a top-tier computer vision conference, which this year accepted 2064 from the 8161 submitted papers.
We used Ostrava supercomputers as part of our research and development at the Institute of Formal and Applied Linguistics at the Faculty of Mathematics and Physics of Charles University. Thanks to the powerful GPUs with a high memory capacity, we were able to train a Czech version of the large neural generative language model GPT-2. The generative language model is a tool that can, for example, propose a possible textual continuation for a given beginning; for example, for the text "I got up in the morning and went to [...]" it can predict for example "work" or "the bathroom". The GPT-2 model has so far only been available in English; we use its Czech version for example for the automatic generation of X-ray image descriptions or for generating theatre play scripts within the THEaiTRE project.
THEaiTRE GPT2 Recycling
Call: special call within the 24th Open Access Grant Competition; OPEN-24-11
Researcher: Rudolf Rosa
Institution: Charles University
Field: Informatics

SKINNER
Call: special call within the 24th Open Access Grant Competition; OPEN-24-18
Researcher: Jan Hůla
Institution: Czech Technical University in Prague
Field: Life Sciences
Fascinating discoveries of the last decade showed that neural networks are able to learn a behavior that in many tasks produces much better performance than the algorithms designed by humans. Very often such neural networks are trained to mimic some observed phenomenon that is too complex for us to understand. One such example is recent success in language modeling where the neural network is trained to predict a missing word in a sentence. After the training, this network is able to generate whole paragraphs of text and engage in a believable dialog with a person. Our project aimed to test neural language models for modeling animal behavior because both tasks can be viewed as a sequence prediction. Concretely, we trained the network to predict the movement of joints in a 3D skeleton of a fly. The trained model can generate realistic-looking behavior and enable further analysis of behavioral patterns.
Modern systems for speaker recognition are based on a comparison of voiceprints extracted from an audio recording by means of neural networks (NN). A typical extractor takes as an input a sequence of low-level spectral features or even the raw signal itself and learns suitable representations characterizing speech. These representations are subsequently summarized into a single vector (voiceprint) of a fixed dimension via statistical pooling operation, such as taking the mean over time. These voiceprints are processed further with a second NN, which is supervised to optimize a speaker-related loss such as cross-entroppy. A voiceprint can be any intermediate output in this NN. The actual speaker verification is a comparison of voiceprints either via a statistical model or simply by taking their cosine distance. The output of the whole system is a score that gives a similarity of both voiceprints (speakers).
Peptide Killers of Bacteria
Call: 24th Open Access Grant Competition; OPEN-24-24, multiyear
Researcher: Robert Vácha
Institution: CEITEC
Field: Life Sciences
Infectious diseases are a major social and economic problem. Among them, infections associated with antibiotic-resistant bacteria are particularly important, not only prolonging and costing treatment, but above all leading to more deaths. It is estimated that more than 4.5 million people die each year from these resistant bacteria, and this number is rising steadily. In addition, bacteria resistant to all available antibiotics have emerged. This is why the WHO and the UN are calling for research into new drugs and the introduction of procedures to limit the spread of resistance. The aim of this project is to use computer simulations and computational approaches to design new peptides that could become such drugs by selectively targeting and disrupting the vital membranes of bacteria. At the same time, these peptides will be developed so that they do not disrupt human cell membranes due to their different lipid composition. The results of this research may also be used in the development of peptide sensors or biomarkers for different lipid compositions.
MXenes, i.e. transition metal carbides or nitrides, are relatively recently discovered two-dimensional (2D) materials. These materials are suitable candidates for numerous technological applications (electronics, photovoltaics) due to their durability and a wide range of physical properties (e.g. magnetic properties, variable bandgap, from metals to semiconductors), which is due to the variability of composition and the possibility of surface functionalization of MXenes. Both conducting and semiconducting MXenes can be combined into heterostructures, further expanding the possibilities of this promising class of materials. František Karlický's team, which has long been involved in computer modelling of 2D material properties, will gain fundamental physical insights into the behaviour and properties of MXenes that can be used in experiments and technological practice. Accurate predictions of the electronic and optical properties of MXenes in particular are challenging both because of the methods and the computational complexity.
Deterministic Road Traffic Simulator – 2nd Phase
Call: 24th Open Access Grant Competition; OPEN-24-65
Researcher: Martin Šurkovský
Institution: VSB-TUO, IT4Innovations
Field: Informatics
The Deterministic Road Traffic Simulator is used to test algorithms for optimising road traffic flow in a city. To illustrate, a conventional navigation system navigates a car around a city by preferring the shortest route or the shortest travel time. This can lead to congestion in a city. Using a traffic simulator, we try to optimize the overall traffic flow so that congestion ideally does not occur at all. The deterministic nature of the simulator ensures that for the same input settings, the simulation result is always identical. This property is rarely ever satisfied in a supercomputer environment and is important in terms of comparing results and making them repeatable. The project is co-funded by Sygic and is also addressed in the framework of the European HORIZON 2020 project EVEREST, which deals with facilitating the optimal use of heterogeneous computing resources, i.e. both classical processors and dedicated accelerators.
The naive perception of forces in nature (e.g., gravity/electromagnet) concerns interactions between 2 particles. But there are cases where a system cannot be described just by two-body forces (2BF). For example, three-body forces (3BF) (which occur between every 3 particles and cannot be decomposed by two-body forces), albeit smaller (~1/10 of 2BF), are necessary in nuclear physics. The frequency that 2BF and 3BF occur in an A-particle system (see Figure) corresponds to the number of ways to collect 2- and 3-particle pairs in that system. Thus, as A increases, the importance of the 3BF will grow and dominates over 2BF for compact systems. This counterintuitive, “more is different” phenomenon calls for fundamental reorganizations of chiral effective field theory [1,2]. Further studies of various systems supported by IT4Innovations are expected to open a new exciting horizon for our understanding of nature.
[1] C.-J. Yang, Eur.Phys.J.A 56 (2020) 3, 96.
[2] C.-J. Yang, A. Ekstrom, C. Forrsen, G. Hagen, G. Rupak, U. van Kolck, arXiv: 2109.13303 [nucl-th].
Harvesting seismic waveform data for microseismicity with deep learning approaches
Call: 24th Open Access Grant Competition; OPEN-24-76
Researcher: Christian Sippl
Institution: the Czech Academy of Sciences
Field: Earth Sciences
The largest earthquakes on the planet occur in subduction zones, where one tectonic plate of the earth moves under another. Instead of directly investigating these irregular big events, we study the thousands to 100,000s of microearthquakes that occur in these regions every year. Most of them are too small to be felt. The patterns and mechanisms of these small events contain information about the stress conditions of the region. They can constrain the likelihood and spatial extent (but not timing) of future large earthquakes.
Given the huge number of small earthquakes in the investigated areas (>10,000 per year in the north of Chile, South America, alone) and the big amounts of available seismic data (10s of TB), processing such events “by hand” is not feasible. In the present project, we train computers to detect and locate such small earthquakes by applying deep learning algorithms.
Properties of Nanoparticles Intended for Medical Applications
Call: 23rd Open Access Grant Competition; OPEN-23-10, multiyear
Researcher: Martin Friák
Institution: the Czech Academy of Sciences
Field: Material Sciences
By reducing the volume of a solid below a certain limit, the solid changes its properties. This is called a dimensional phenomenon, and the particles of about the size of a tenth the thickness of a spider's fiber are called nanoparticles. Nanoparticles are widely used in medicine. Because of their small size, they can deliver medicine directly to the affected tissue, act against bacteria and viruses, and help in the examination and treatment of tumors. Magnetic nanoparticles have a special status as they can be controlled outside the body by an external magnetic field and used to heat a tumour to temperatures leading to its destruction. The properties of nanoparticles are closely related to their structure and knowledge of this relationship helps in their preparation. Within the project supported by GA CR, the relationship between structure and magnetic properties is studied, and experimental findings are combined with calculations performed at IT4I (Dr. M. Friák) so as to enable deeper understanding of these relationships.
Quantum-chemistry calculations belong to time-consuming tasks performed on modern supercomputers. There have been developed many commercial and open-source software packages. The vast majority of chemical systems can be treated using standard numerical approaches, giving results in a relatively short time. However, there exist systems, where these methods fail to find the solution. A development of alternative numerical approaches is desirable and belongs to the interests of our research. For the purposes of their testing, we develop our own software. Since the calculations are quite demanding, it is worth investing effort in the optimization of the use of parallel architectures. The goal of this project is to make existing codes more efficient, which in the future will lead to faster production of the numerical data and also to lower requirements for computing time.
Fluid Flow Simulations in a Complex Computational Domains
Call: 23rd Open Access Grant Competition; OPEN-23-35
Researcher: Kryštof Mráz
Institution: Brno University of Technology
Field: Engineering
Porous structures and products with a complex inner geometry are still considered as a considerable challenge for standard computational modeling. Heat exchangers made of polymeric hollow fibers can be considered as a porous structure as well, because they normally consist of hundreds or thousands of fibers with outer diameter approx. 1 mm. However, the comprehensive numeric simulation of the whole heat exchanger is highly desirable, because it would fill the gap between rather simplifying analytical models and empirical experiments. The aim of this project is to utilize the so-called Lattice Boltzmann method for numerical simulation of flow and heat transfer through hollow fiber heat exchangers. This method is unique in the fact that it is based on statistical physics of molecular motion in gases. An important aspect of this method is also its suitability for parallel high-performance computing.
With the growing importance of electronics and satellites to humanity, the impact of solar activity on our society is increasing. Last winter, for example, SpaceX lost 40 satellites after one solar flare followed by a coronal mass ejection and a geomagnetic storm. As the sun does not fit in a lab, computer experiments are used for its research. By comparing simulation results with observations, our hypotheses can be tested. In this project, own software is used to model processes in the solar atmosphere, including simulating the reconnection of the magnetic field that leads to a solar flare. In the figure, you can also see the sections of the 3D model of the solar atmosphere above the sunspot (magnetic field lines and magnetic to plasma pressure ratio) that are used to model wave propagation. 3D simulations are computationally intensive and would be virtually impossible to perform without supercomputers and efficient methods.
Interactions of surfactant-coated triglyceride nanodroplets with the tear film lipid layer in the context of dry eye disease
Call: 23rd Open Access Grant Competition; OPEN-23-48
Researcher: Maria Saija
Institution: the Czech Academy of Sciences
Field: Biosciences
Dry Eye Disease (DED) is a severe ocular disease that affects up to 30% of the global population.
One of the main challenges in its treatment is to stabilize the eye’s surface barrier, called the Tear Film Lipid Layer (TFLL). State-of-the-art ophthalmic formulations are based on eye drops containing lipid-based nano-emulsions. The project submitted to the IT4Innovations aimed at studying such emulsions in contact with the TFLL model using Molecular Dynamics simulations. In particular, we explored how such nanodroplets spontaneously transfer from an aqueous environment to TFLL, spread on its surface, and then incorporated into the tear film (Figure 1). We reckon that our project has a concrete impact on society as the results can help design new, better lipid nanodroplets for DED treatment.
Photoexcited electrons in the complex structures of carbon dots
Call: 22nd Open Access Grant Competition; OPEN-22-11 multiyear
Researcher: Michal Otyepka
Institution: Palacky University Olomouc
Field: Material Sciences, 3 000 000 core hours
Carbon dots have only recently been discovered, yet today they represent one of the most intensively studied nanomaterials. Indeed, their excellent photoluminescence properties predestine them for a variety of applications ranging from LED light sources to biological imaging and medical diagnostics to chemical catalysis. This is also due to the fact that they are easy and cheap to prepare as well as they are stable and non-toxic. However, carbon dots are very reluctant to reveal their secrets, which makes it difficult to design them rationally and to optimise their properties in a targeted manner. Computer simulations are among the useful tools of the modern chemist, as they allow to answer questions that are very complicated for experiments. Simulations have been used for several years to understand the behaviour of carbon dots by the group led by Michal Otyepka. Thanks to the computational resources they have gained on IT4I computers, they will be able to study the mechanism by which a carbon dot absorbs light radiation, how the absorbed energy propagates through the dot structure, and how and why it is emitted. The scientists anticipate that if they understand this mechanism, it will allow them to target the design of carbon dots and expand their applications.
Accelerating particles to relativistic energies has become one of the most studied branches of physics over the past century. Conventional accelerators are nowadays very expensive to build, mainly because of their large size. Plasma accelerators can solve this problem. Using them, a wave with a strong electric field is excited in the plasma (ionised gas) by very intense laser pulses. Electrons are trapped and accelerated. On the plasma wave they behave like a surfer on a wave in the water. This technology allows for an acceleration length 1000 times smaller than conventional accelerators and therefore accelerators can be much more compact. Electrons emit intense X-ray flashes as they move through the plasma wave. Using sophisticated computer simulations, we are able to design experiments that help improve the quality of X-ray beams. This allows us to move plasma accelerators closer to practical applications such as studying the dynamics of processes occurring on femtosecond scales, such as chemical reactions and phase transitions as well as improving medical imaging techniques.
Computational modelling of fast ion orbits in tokamak plasmas
Call: 22nd Open Access Grant Competition; OPEN-22-34
Researcher: Fabien Jaulmes
Institution: Institute of plasma physics, Czech Academy of Science
Field: Physics, 1 000 000 core hours
Nuclear fusion technology might enable us to generate energy without releasing large amounts of greenhouse gases into the atmosphere or leaving behind us long lived radioactive waste. The tokamak concept involves the use of magnetic fields to confine plasma hot enough to sustain fusion within itself. Today, as a part of international project under the title ITER, a new tokamak is built in southern France. If successful, the device would be the first one of its kind to produce net energy.
Future fusion power plants will rely on self-heating by fast 3.5 Mev Helium particles generated by the fusion reactions. They will also rely on additional heating by neutral beam for current drive and stability optimization. The study of the physics of the fast ions in current-day devices is paving the way for optimum operation and design of future power plants.
Thanks to detailed computational modelling [1] based on the equation of motion and collisional cross sections, we can improve our understanding of the physics of the fast particle and describe the distribution of heating in the tokamak and the losses of the energetic particles: there is concern that fast ions could cause damage to plasma-facing components.
COMPASS Upgrade will be a large magnetic field (5 T) tokamak that will allow the scientific investigation of various physics issues related to the operation of the future ITER. In particular, an 80 keV Neutral Beam Injection (NBI) system is planned to heat up the plasma with 4 MW of external power. The study and modelling of NBI-born particle behavior might influence the future design of the experiment. In the COMPASS Upgrade experiments, a great opportunity will arise to study the interaction of the fast ions with the edge plasma.
An illustration of the improvement of the understanding of the edge physics enabled by the computational modelling is given in the figure below. We show the impact of the plasma density and temperatures profiles in the edge (Scrape-Off Layer or SOL) region on the losses of the fast ions originating from the NBI for various orientation of the beam (tangency radius or Rtan).
Figure from [1]: Left: kinetic profiles used to mimic the absence (green) or existence (red) of an SOL density shoulder in COMPASS Upgrade (scenario modelling F or #13450). Right: assessment of NBI losses for a total of 1 MW of injected power: the shoulder (red curves) reduces the Charge-exchange (CX) losses for all injection geometries but increases slightly the ion losses at perpendicular injection (Rtan < 30 cm). Overall, the density shoulder will be beneficial for the NBI performances.
[1] F. Jaulmes et al 2021 Nucl. Fusion 61 046012
Magnetostriction is a physical phenomenon in which the process of magnetization induces a change in the shape or dimension of a magnetic material. Magnetostrictive materials are widely used in many technological applications like sensors (torque sensors, motion and position sensors, force and stress sensors) and actuators (sonar transducers, linear motors, rotational motors, and hybrid magnetostrictive/piezoelectric devices) where a high magnetostriction is required. Recently, we developed the program MAELAS [(version 1.0) P. Nieves et al., Computer Physics Communications 264 (2021) 107964, (version 2.0) P. Nieves et al., Computer Physics Communications (2021) 108197] to calculate magnetostrictive coefficients in an automated way. Presently, we are using MAELAS in IT4Innovations supercomputers to search for novel magnetic materials with high magnetostriction.
Thermal properties of Cerium Titanides
Call: 22nd Open Access Grant Competition; OPEN-22-18
Researcher: Andrzej Kadzielawa
Institution: IT4Innovations, VŠB-TUO
Field: Material Sciences, 3 457 000 core hours
Our industry is still based on steam. In coal, gas, and nuclear power plants, the water produces electricity, the fuel used to heat it up. The reader, an astute person obviously, already sees significant problems: (i) carbon emissions; (ii) safety. Whilst emitting almost no CO2, nuclear energy has regrettably become loathsome after the Chornobyl and Fukushima incidents. Although the design of reactors based on fission (splitting atom nuclei into two or more particles, releasing excess energy) was significantly improved, there is another way. A clean way: Thermonuclear Fusion Reactors. The idea is simple: to reproduce the same process that a star does to produce energy. Fusion of two Hydrogen (H) atoms into Helium (He), c.f. [1].
In other words, we heat our steam engine with a small, artificial sun. Some of these devices are already operating (one in Prague [2]), yet there are still many engineering problems to solve. One of them is siphoning the radiating heat of plasma (temperature ~200 000 000 ℃, confined in the strong magnetic field) to water, i.e., a wall. While there is no possibility of an ecological catastrophe, the device itself can be damaged in an accident. Thus, the material for the reactor wall must withstand the so-called fail-safe scenarios.Trivializing, we have to consider the bombardment of our material with ions, atoms, and molecules of hydrogen (and its isotopes). Horse sense tells us that the wall should be hard, the classical physics, that the atoms it is built from should be heavy. These points provide a starting point: Tungsten (W) - a heavy yet stable and inexpensive element with high hardness. Unfortunately, while the performance in a vacuum is excellent, Tungsten is explosively oxidizing when exposed to the air. Therefore, coating the wall is out of the question, as a film might disrupt the heat conductivity can be easily damaged by plasma.
The next logical step is to create an alloy of Tungsten with a small addition of an element that (i) has an oxide that does not allow oxygen molecules to pass (making a make-shift, self-healing coating); (ii) is oxidizing at least as fast as Tungsten. Conveniently, adding ~10 % of Chromium (Cr) does precisely that. The story does not end here, as there is a new problem - W-Cr alloys slowly but steadily diffuse into a mixture of two: W- and Cr-rich grains. Our work is to find a third stabilizing element (X) of the W-Cr-X alloy slowing (or ideally stoping) the diffusion.
The first step of computational modelling is to reproduce the problem. The approach we chose is to describe an alloy as a quantum-mechanical system of electrons and ions, then use the outcome to build a statistical model. First, we create our building blocks using the Density Functional Theory (DFT [3,4]) by calculating the electronic behaviour on the lattice of Tungsten and Chromium atoms. The outcome charge distribution (Fig. 1) allows us to understand the electric and heat conductivities change with composition and the impact of lattice shape on vibrations of the ions in the lattice. We first use the IT4Innovations clusters to generate the Special Quasirandom Structures [6] (Fig. 2): the distributions of atoms in a finite cell, reproducing the alloy randomness in the best possible way. Then, the bulk of calculations occurs: we obtain each cell model's electronic and dynamic behaviour using the Vienna Ab initio Simulation Package (VASP [7]) by minimizing its energy (E). Then, having a representative set of states (a part of the statistical ensemble - set of all possible realizations), we can incorporate temperature (T). Intuitively it is not a big deal, but in reality, the temperature is anything but ostensible. In physics, it is a single parameter that describes the kinetics of the elements in a model (e.g., the average kinetic energy of gas particles). While it is rather inconvenient in understanding, it is useful to treat temperature as an intensive variable (non depending on the number of particles) coupled with extensive entropy (S) - the measure of disorder in the system. What is and how to describe, calculate, and understand entropy is a topic on a separate article (or a book); let us assume now that we can calculate it for each of the states calculated using VASP. Here, minimizing the so-called Free energy (F = E - S×T), we find the optimal state of each composition of elements in each temperature.
Completing the procedure described in the paragraph above for different X in W-Cr-X gives us information on the stability and properties of these alloys and whether it makes sense to synthesize them in a lab. Following this approach, we recently published promising results on Tungsten - Chromium - Hafnium (Hf) systems [8].
This project is a part of a GAČR standard grant No. 20-18392S Tailoring thermal stability of W-Cr based alloys for fusion applications.
[1] wikipedia.org, Fusion power, https://en.wikipedia.org/wiki/Fusion_power
, accessed 1 November 2021.
[2] COMPASS, Institute of Plasma Physics of the Czech Academy of Sciences, Prague, http://www.ipp.cas.cz/vedecka_struktura_ufp/tokamak/COMPASS
[3] P. Hohenberg, W. Kohn, Phys. Rev., 136 (3B), pp. B864-B871 (1964).
[4] W. Kohn, L.J. Sham, Phys. Rev., 140 (4A), pp. A1133-A1138 (1965).
[5] K. Momma and F. Izumi, J. Appl. Crystallogr. 44, 1272-1276 (2011).
[6] A. Zunger, et al., Phys. Rev. Lett., 65 (3), pp. 353-356 (1990).
[7] G. Kresse, J. Furthmüller, Phys. Rev. B 54 (16), pp. 11169-11186 (1996).
[8] J. Veverka, et al., Mat. Lett. 304, 130728 (2021).
Search for new Anticancer Compounds and Investigation their Mechanism of Action
Call: 21st Open Access Grant Competition
Researcher: Róbert Babjak
Institution: Institute of Plasma Physics, Czech Academy of Sciences
Field: Physics

Advances in the development of laser pulses with lengths of tens of femtoseconds have enabled research into the relativistic interaction of plasma with an electromagnetic field. Electrons of an ionized gas in an intense pulse field can be efficiently accelerated to high energies at much shorter distances compared to conventional particle accelerators when properly configured. Such ultra-relativistic electrons are able to radiate a non-negligible fraction of their energy in the form of X- to gamma rays. In the process, they lose the energy gained, which seemingly works against acceleration. However, it turns out that the loss of energy by radiation, also called radiative decay, makes it easier for the electrons to get into conditions suitable for acceleration and thus greatly increases the efficiency of the process. It is therefore necessary to find the most suitable way of absorbing the energy of the laser pulse by electrons to be used in future accelerators and energy sources. The aim of the project is to investigate the configurations that might be most suitable for this type of application, using the 3D particle-in-cell Osiris code.
Transfer Learning for Keyphrase Extraction
Call: 21st Open Access Grant Competition
Researcher: Martin Dočekal
Institution: Faculty of Information Technology, Brno University of Technology
Field: Informatics

It is becoming more and more apparent that in today's deluge of data it is difficult to find a relevant document containing the information we seek. We have reached a point where it is difficult for humans to find information without using an automated tool such as a search engine. However, even using a search engine, we get a large number of documents the relevance of which has to be decided by the user. Key phrases that bring the content of a document into a compact form can help with this problem. A common key phrase has only a few words. If it is only one word we call it a more familiar term, namely keyword.
In our project, we focus on extracting key phrases from large (over 83,000 words on average) Czech language documents such as books. The documents used are additionally burdened with errors as they were created by automatic digitization. The extracted key phrases from this kind of documents could be used by librarians in their work, among others.
To find key phrases, we use large-scale neural networks that are able to produce context-dependent representations of words. Based on these representations, the network then decides whether a given sequence of words can be considered a key phrase.
Thermochemically-driven convection and dynamos operating at low Ekman numbers
Call: 21st Open Access Grant Competition
Researcher: Dr Ján Šimkanin
Institution: Institute of Geophysics of the Czech Academy of Sciences
Field: Earth Sciences

The Earth's magnetic field is one of the most variable geophysical fields. It provides us with effective protection from solar flares and is a useful navigation tool not only for us humans but also for animals. The Earth's magnetic field is generated by convective motions of electrically conductive melt in the Earth's outer core and penetrates the Earth's surface, where it is observed as a large-scale, dipole-dominated field. These generation processes are called Geodynamo for short. However, we have no direct information about the magnetic field in the Earth's core, and for this reason we model the magnetohydrodynamic processes in the Earth's outer core numerically. Geodynamo's numerical models produce magnetic fields that are close to the observed geomagnetic field. We are also able to reproduce its temporal variations, be it short or long term (called secular variations). However, we cannot use parameters typical of the Earth's core in our models for computational reasons – so far there has been no supercomputer in the world that can solve a Geodynamo model with such values. Nevertheless, we are gradually approaching these values, and one of the approximations is to model thermochemical convection and thermochemically driven hydromagnetic dynamo at low fluid viscosity.
Validation of exascale demonstrators
Call: 21st Open Access Grant Competition
Researcher: Dr Tomáš Karásek
Institution: IT4Innovations, VŠB-TUO
Field: Engineering

The project is part of a three-year ExaQUte project, which develops new methods for solving complex engineering problems using computational simulations on exascale systems. The aim is to construct a framework to enable Uncertainty Quantification (UQ) and Optimization Under Uncertainties (OUU) in complex engineering problems.
Solution of UQ and OUU problems rely on the estimation of unknown quantities by performing many independent simulations on different scenarios. This poses an important challenge as many computational resources are needed to perform these analyses. Nonetheless, the independent sampling allows for high parallelization of the analyses in order to exploit HPC systems.
The methods and tools developed in ExaQUte will be applicable to many fields of science and technology. The application chosen as a demonstrator focuses on wind engineering, a field of notable industrial interest for which currently no reliable solution exists. This will include the quantification of uncertainties in the response of civil engineering structures to the wind action, and the shape optimization taking into account uncertainties related to wind loading, structural shape and material behaviour. Wind also plays an important role in the assessment of citizens comfort, particularly when large constructions are to be made (e.g. re-modelling of city areas, construction of high-rise buildings), becoming this an application of public interest.
Extensive Pursuit of Singlet Fission Sensitizers
Call: 21st Open Access Grant Competition
Researcher: Diego López-Carballeira
Institution: Faculty of Electrical Engineering, Czech Technical University in Prague
Field: Material Sciences
Singlet fission is a process that allows a molecule to generate two triplet excited states with the absorption of a single photon. This feature implies deep advantages for the generation of solar energy, and the scientific community diligently tried to get novel sensitizers that could boost the efficiency of the future photovoltaic devices.
Unfortunately, all those efforts have been futile, and the few molecules that have been demonstrated to show efficient singlet fission lack the photostability required to be applied in a real device. In order to provide novel candidates to be used as singlet fission sensitizers, our group uses high level quantum calculations for the screening of large databases. With the 6.9 million CPU hours provided by IT4Innovations it is possible to seek among the plethora of known molecules stored in databases, modeling their electronic structure and selecting those that are found to be compatible with the presence of singlet fission.
The project aims to provide a list of readily available compounds compatible with the singlet fission process, narrowing down the number of candidates to be tested by expensive theoretical and experimental approaches.
Hydrodynamic interactions of planets with protoplanetary disks and the origin of close-in exoplanetary systems
Call: 21st Open Access Grant Competition
Researcher: Dr Ondřej Chrenko
Institution: Astronomical Institute of Charles University
Field: Astrophysics
Figure: Temperature of the gas at the inner rim of the protoplanetary disk (in section to the orbital plane of the disk; the whole disk can be visualized by "spinning" the image around the vertical axis).

Astronomical observations in recent years have allowed the detection of thousands of planets outside our solar system, so-called exoplanets, whose origin is shrouded in many questions. A large group of exoplanets are close-in low-mass planets (i.e. orbiting close to their host star), which typically have masses up to several Earth masses (called super-Earths or mini-Neptunes).
In this project, we will perform computational hydrodynamical simulations of the early evolution of such planets embedded in an embryonic gas-dust disk. We will study the process of planet migration, where the gravity of the structures formed in the protoplanetary disk changes the orbits of the planets.
The aim of the project is to understand under what conditions super-Earths and mini-Neptunes can migrate to the inner disk rim. To properly model the environment in which planets evolve, we need to realistically describe the physical conditions at the inner rim of the gaseous disk (see figure). The distribution of gas at the inner rim of the disk depends on the interplay of many processes, such as heating by host star radiation, magnetohydrodynamic turbulence, energy transfer by radiative diffusion, dust grain evaporation, and the associated (in)transparency of the environment.
MOLECULAR MODELING AND DYNAMICS STUDY OF MATERIALS FOR USE IN CONTROLLED RELEASE FERTILIZERS
Call: 20th Open Access Grant Competition
Researcher: Doc. Václav Čuba
Institution: Czech Technical University in Prague
Field: Material Sciences

Introduction of NPP (nitrogen, phosphorus, and potassium) and other composite fertilizers made care of soil and plants much easier for farmers. These fertilizers increased yield but caused new and unforeseen ecological problems. To reduce environmental stresses connected mainly to an excess of nitrogen in soil and underground water, new slow and controlled release fertilizers, which copy the curve of plant nutrient uptake with their curve of nutrient release, were developed. This project is focused on finding and studying materials that are useable as a base for slow release fertilizers able to release nutrients in a controlled manner to the environment. Such promising materials seem to be zeolites, the properties of which allow the preparation of a fertilizer containing all essential nutrients, as well as having slow release properties. The binding of molecules of nutrients with zeolitic structures will be studied by molecular modeling methods. From the modeling results, it is possible to predict how the release of nutrients will take place, and what the difference in the strengths of the bonds between each nutrient and the zeolitic structure will be. The aim of the project is to study the possibilities of preparing slow release fertilizers.
EXPANSION OF SUPERNOVA DRIVEN SHELLS NEAR THE GALACTIC CENTER
Call: 20th Open Access Grant Competition
Researcher: Barnabas Barna
Institution: Astronomical Institute of the Czech Academy of Sciences
Field: Astrophysics

Supernova explosions are some of the most energetic events in the universe. These cataclysmic stellar deaths release chemically enriched material that expands at a high velocity into the surrounding space. The resulting bubble then sweeps around the surrounding interstellar mass, forming an envelope with a mass of several hundred suns. In doing so, it plays an important role in the generation of stars, with expanding bubbles triggering the formation of other stellar generations. Interstellar material can be transported into close proximity to the central supermassive black hole by expanding shells, thus increasing its activity. Whether this scenario is responsible for the manifestation of the supermassive black hole in the Milky Way, however, cannot be confirmed, largely due to the low activity of this nearest supermassive black hole. Simulating the development of shells and the influence of initial and marginal conditions requires numerical methods. Barnabas Barna and his collaborators plan to use the awarded core hours for hydrodynamic simulations with FLASH code in 3D. The objective is to explore the interaction of an interstellar environment with an expanding shell. The results will be matched with current observations: e.g., the current distribution of supernova remnants will be compared to powerful X-ray flashes from the past.
GENOMIC INVESTIGATION OF ORGANELLAR EVOLUTION AND ENVIRONMENTAL ADAPTATION IN APICOMPLEXAN PARASITES
Call: 20th Open Access Grant Competition
Researcher: Dr Martin Kolísko
Institution: Institute of Parasitology of the Czech Academy of Sciences
Field: Life Sciences

Apicomplexa are a group of intracellular parasites of animals and include, for example, agents of the serious human disease, malaria. Although much is known about the genetic makeup and organellar composition of core apicomplexan parasites, gregarines have been largely ignored despite being projected as one of the most species rich groups of eukaryotes. The project aims to characterize representative gregarine lineages from terrestrial and freshwater hosts. Gregarines cannot be cultured, so a method based on sequencing transcriptomes and genomes of individual cells will be used. The obtained data will be used only for phylogenomic analysis in combination with the recently published data on gregarines from marine hosts. This analysis will clarify the evolutionary position of gregarines in the Apicomplexa group, which has recently been challenged by contradictory results from two recently published studies. Robust phylogeny will then allow investigation of both the reductive evolution of organelles across the Apicomplexa group, and also genetic adaptation to different hosts, host environments, and intracellular parasitism occurring in other members of this Apicomplexa group.
SUBSTITUTED HYALURONAN MOLECULES IN AQUEOUS AND MIXED SOLVENTS
Call: 20th Open Access Grant Competition
Researcher: Dr Marek Ingr
Institution: Tomas Bata University in Zlín
Field: Material Sciences
Hyaluronic acid (Hyaluronan, HA) is a key component of the extracellular matrix of skin and connective tissues. It finds wide applications in cosmetics and pharmacology as a compound supporting tissue regeneration and wound healing. As a biocompatible material, it is also used as a base for drugdelivery systems and tissue repair. Although HA is highly hydrophilic, many of its technological applications often require its use in non-aqueous environments. Following previous studies of free HA macromolecules in aqueous solutions and mixtures of water and miscible organic matter, Dr. Marek Ingr and his research team are now looking at the structure of HA molecules substituted by one or more aliphatic chains in the same solvents. The equilibrium behaviour of the molecules is simulated by the molecular dynamics method, from which the molecule‘s conformation and the mutual position and interaction of its parts, the separation of the mixed solvent around the individual parts of the molecule, the interaction of the parts of the molecules with the molecules in the solution, and in particular the precursors of subsequent substitution reactions, are evaluated. The results of these studies will contribute to optimizing responses leading to the formation of modified HA molecules and the design of materials based on them that can find applications in healthcare, cosmetics, and other fields.
DISCOVERY OF NOVEL EFFICIENT CATALYSTS FOR CO2 CAPTURE AND IN SITU UTILIZATION: DFT INVESTIGATION
Call: 20th Open Access Grant Competition
Researcher: Dr Valeria Butera
Institution: CEITEC, Brno University of Technology
Field: Material Sciences

Carbon dioxide (CO2) is considered the main cause of global warming. Over half of CO2 emissions are from large industrial point sources, while the remainder of these emissions are from small mobile sources. Reducing its emission below critical levels requires not only political commitment but also novel scientific approaches to capture CO2 and to enable its conversion from a waste product into value-added products. The key measure to achieve this will be efficient and practicable processes for ambient air and large-scale CO2 sequestration and utilization. The main focus of this project is the development of innovative technologies aimed at slowing or stemming anthropogenic carbon emissions. The challenge here is the design of new efficient, selective, and “green” homogeneous and heterogeneous catalysts for CO2 capture and CO2 conversion. Valeria Butera and her team will first focus on materials that are suitable for CO2 sequestration and conversion directly from ambient air (direct air capture, DAC). The results of this investigation will pave the way for developing suitable technologies to extract CO2 from large industrial sources.
MASSIVELY MULTILINGUAL AND SELF-SUPERVISED NEURAL MACHINE TRANSLATION FOR LOW-RESOURCE LANGUAGES
Call: 20th Open Access Grant Competition
Researcher: Josef Jon
Institution: Brno University of Technology
Field: Informatics

Machine translation of human language has made tremendous progress due to recent improvements in machine learning. Translations generated by neural machine translation (NMT), under specific conditions, are even comparable to human translation. One of these conditions is that for a given language pair, there are large numbers of parallel, human-translated texts available to train the model. This is true only for a very limited number of language pairs. Improving NMT quality in other languages is based on pre-trained models of neural networks to represent the language. These make it possible to take advantage of large volumes of texts found on the internet, but to which noise is artificially added, with some words being dropped or replaced. The challenge is to reconstruct the original text. By training on this task, the model actually learns to represent and understand language incidentally because these skills are needed to correct the text appropriately. Pre-trained models can be fine-tuned to end tasks using significantly less data than if they were trained from the beginning. It turns out that the more the method of adding noise in the pre-training phase is similar to the end task, the better the result. The aim of Josef Jon, an engineer who has acquired nearly 1.2 million core hours for his project, is to explore variations of noise functions that are similar to translation (e.g., replacing a word or phrase with its translation), and to use the resulting models for translation in language pairs with little training data.
Search for new Anticancer Compounds and Investigation their Mechanism of Action
Call: 19th Open Access Grant Competition
Researcher: Dr Olena Mokshyna
Institution: Institute of Molecular and Translational Medicine, Palacky University in Olomouc
Field: Life Sciences
The development of novel anticancer agents is a long and complicated process, which involves an investigation of many potential targets for such therapies. In this project we are going to address several of such targets. Bystin is a compact protein promoting human cancer cell growth. Despite bystin being a promising target for anticancer drugs and drugs against Blackfan anemia, no site of binding was previously identified. Olena Mokshyna, who was awarded 510 000 core hours for her project, found that bystin has two primary shallow binding sites. Exploring the mechanisms of binding of promising drug-like compounds, she was able to establish stable binding poses for most of the ligands and distinguish two main groups of ligands with varying activity. Her project aims to further explore bystin dynamics using enhanced sampling methods and perform free energy calculations of ligand-protein systems. These methods are used with emphasis on metadynamics simulations, which would allow to explore the ligands’ mechanism of actions in silico. The second target protein is CYP2w1. The uniqueness of CYP2w1 consists in the fact that it is mostly expressed in tumor cells rather than in healthy tissues. This feature makes it a potential target for selective anticancer agents. There are currently a few compounds known, which not only selectively bind to the metabolic site of the protein but also turn to a cytotoxic compound, thus destroying a cancer cell, but not damaging the healthy tissues. Olena Mokshyna aims to perform virtual screening to select compounds with a similar mode of action for further experimental testing. The results of her project will facilitate development of anticancer drugs and medication to treat Diamond-Blackfan anemia.
Quantum Mechanical modeling of Mismatched DNA
Call: 19th Open Access Grant Competition
Researcher: Dr Petr Kulhanek
Institution: CEITEC, Masaryk University
Field: Life Sciences
Deoxiribonucleic acid (DNA)double helix is composed of two complementary strands, which are held together by Watson-Crick base pairing. Base-pairing mismatches can result in the development of inherited genetic diseases, cancer, and aging. Therefore, organisms developed several ways how to detect and repair these base-pairing errors and thus keep the integrity of genetic information for next generations. One of them is the mismatch repair pathway (MMR), in which the MutS enzyme detects mismatches and once found, it triggers a cascade of processes leading towards their repair. Petr Kulhanek and his research team tried to decipher how MutS can effectively detect base-pairing mismatches. In order to do so, they applied molecular mechanics and dynamics methods based on simplified physical description. This, at the cost of lower accuracy, makes it possible to study large biomolecular systems. Petr Kulhánek will use the awarded 532 000 core hours for quantum-chemical calculations to validate accuracy of the results achieved in previous studies. In this way, he will not only obtain information on the quality of the simplified physical description but also more detailed information about individual interactions in non-complementary base pairing and their relevance to MutS enzyme recognition. The obtained data is important for future rational design of chemical substances suitable in anti-cancer therapy, which will target damaged DNA.
Design of a new Smart Material with Magnetic Shape Memory Effect
Call: 19th Open Access Grant Competition
Researcher: Dr Martin Zeleny
Institution: Faculty of Mathematics and Physics, Charles University in Prague
Field: Material Sciences
Magnetic shape memory (MSM) alloys have a large application potential in actuators, sensors, energy harvesters, and magnetic refrigeration systems thanks to the extraordinary properties of their multiferroic martensite structure. The macroscopic deformation of such materials in an external magnetic field is caused by the motion of highly mobile twin boundaries in combination with high magnetic anisotropy. However, operating temperatures of currently used materials are too low for engineering applications, which is caused by their low transformation temperatures between austenite and martensite. Within the OP RDE MATFUN project, which was awarded more than 4.1 million core hours in the first period, Martin Zeleny will search for new materials with a high application potential that combine the stability of martensitic phase up to high temperature with its high magnetic anisotropy and low twining stress necessary for motion of twin boundaries, which are also necessary prerequisites of a successful MSM alloy development. Such alloys will in turn enable the miniaturisation and development of new devices in robotics, automotive, aerospace, and biomedical industries. In addition to finding new candidates for experimental preparation, Martin Zeleny will also investigate in depth the basic aspects of the multiferroic behaviour of alloys with magnetic shape memory, such as the physical origin of the martensitic transformation or the mobility of twin boundaries.
COMPUTATIONAL MODELLING OF FAST ION ORBITS IN TOKAMAK
Call: 19th Open Access Grant Competition
Researcher: Dr Fabien Jaulmes
Institution: Institute of Plasma Physics of the Czech Academy of Sciences
Field: Earth Sciences

Nuclear fusion technology might enable us to generate energy without releasing large amounts of greenhouse gases into the atmosphere or leaving behind us long lived radioactive waste. Among the approaches to fusion, tokamak seems to be the most promising one. The concept involves the use of magnetic fields to confine plasma hot enough to sustain fusion within itself. Within the international ITER project, a new tokamak is being built in Southern France. If successful, the device would be the first one of its kind to produce net energy. COMPASS is a small tokamak located in Prague, Czech Republic. It allows scientific investigation of various physics issues related to the operation of the future ITER. Fabien Jaulmes and his team was awarded more than 1.7 million core hours for his project focused on the study and modelling of narrow band imaging-born particle (NBI) behaviour, which might have impact on the future design of the system and its integration in COMPASS as wel as in the planned upgrade of the machine in 2022. The project aims at achieving better scientific understanding of tokamak nuclear power stations as well as cheaper and more sustainable power generation on larger scale. Having high potential impact on future reactor maintenance costs, this study aims to optimise heating systems.
THERMODYNAMICS OF ACTINIUM METAL
Call: 19th Open Access Grant Competition
Researcher: Lukas Kyvala
Institution: IT4Innovations, VSB-TUO
Field: Material Sciences

The half-life of the most stable actinium isotope is only 21.77 years. Therefore, its concentration in nature is significantly low. Were it not for one of the products of the decay of thorium and uranium, it would have long since disappeared from Earth. Due to its high radioactivity, only a few experiments on metal actinium were done and actinium remains as one of the least explored naturally occurring elements. Even the basic property as lattice constant has been subject of discussion for many years and its unusually small value has not been fully elucidated. Lukas Kyvala will use the awarded computational resources (272 000 core hours) to analyse physical properties of actinium, its stability under different temperatures, and the relativistic effects as actinium, due to its high radioactivity (150 times higher than in the case of radium) has become a preferred element in radiotherapy. Study of actinium might not only help understand the physics of actinoids but also enable the obtained knowledge to be utilized in its applications such as the source of neutrons and geochemical indicator for deep circulation of sea water. Moreover, its ability to deliver stable amounts of heat is suitable for generating electricity in space where solar power is not available (i.e., for missions on the dark side of the moon).
RUPTURE PARAMETERS OF DYNAMIC SOURCE MODELS COMPATIBLE WITH EMPIRICAL GROUND MOTIONS
Call: 19th Open Access Grant Competition
Researcher: Dr Lubica Valentova
Institution: Faculty of Mathematics and Physics, Charles University in Prague
Field: Earth Sciences

Within the project awarded 481 000 core hours, the seismology team from the Department of Geophysics at the Faculty of Mathematics and Physics of Charles University in Prague will focus on the study of earthquake source model parameters that control the rupture propagation process on a fault. Based on the random sampling method, they will generate a large number of rupture propagation simulations (up to several ten thousand). However, not all such synthetic earthquakes correspond to real phenomena. Therefore, statistically, only those simulations that generate strong ground motions agreeing with observations from a large number of real earthquakes, i.e. an empirical model, are accepted into the database. The result will take the form of a large database of earthquake scenarios (several thousand) with varying magnitudes and varying complexities of rupture propagation. These phenomena arise from the determined laws of physics for processes at the fault, while at the same time arousing realistic ground movements. Due to the complexity of this synthetic database and lack of observation errors, characteristics such as rupture duration, size of the ruptured area, stress drop, and energy budget are compared with their real counterparts determined from actual phenomena in further analysis. The key focus in this project includes the study of obtained parameters acting in the friction law (their variance and potential correlations), which are not generally accessible for real events and which have significant impact on the resulting ground motions. Thus, studying a seismic source using numerical simulations may also be useful for assessing the effects of earthquakes and seismic hazards.
Accuracy Limits of Quantum Monte Carlo in Weak-interaction Limit III
Call: 18th Open Access Grant Competition
Researcher: Dr Matúš Dubecký
Institution: University of Ostrava
Field: Material Sciences

More than 4 million core hours were awarded to Matúš Dubecký for his research focused on determining the accuracy limits of the Fixed-node diffusion Monte Carlo (FNDMC) method for noncovalent interactions. Noncovalent interactions play a key role in many research areas such as material science and drug design. The team led by Matúš Dubecký will conduct a benchmark study as a follow up to their previous research and application of the FNDMC method, for example, in 2D materials, the properties of which are affected by noncovalent interactions of molecules, and 1D conductors on their surfaces. The objective of this project is to determine, by means of a supercomputer, the accuracy limits of the FNDMC method, which is currently frequently used as a quantum reference method for large noncovalent systems. Apart from gaining a physical insight into the FNDMC method and design of potential improvements, the results will lead to better accuracy control and more rational application of this method not only for large systems.
Planet Formation after Pebble Isolation
Call: 18th Open Access Grant Competition
Researcher: Dr Ondřej Chrenko
Institution: Astronomical Institute of Charles University in Prague
Field: Astrophysics
Ondřej Chrenko was awarded more than 600,000 core hours for his project focused on planet formation processes. Modern scenarios of planet formation suggest that planets form by accretion of cm to m-sized solid particles, the dynamics of which is subject to the aerodynamic drag in the surrounding protoplanetary disk. The drag not only causes a radial drift of pebbles through the disk but also enhances the efficiency of the gravitational capture of pebbles by a planetary embryo. However, once the mass of a growing protoplanet exceeds a certain threshold, a pressure bump is formed in the gas outside the planetary orbit where pebbles start to accrete, and the protoplanet growth ceases. The objective of this project is to investigate the evolution of pebbles, which gradually accumulate in the pressure bump. Ondřej Chrenko will use the IT4Innovations supercomputers for 2D and 3D simulations of a two-fluid flow (solid-togas) system in order to verify if hydrodynamic instabilities occur in the pressure bump. These instabilities might cause pebbles to become concentrated into clumps, which might undergo a gravitational collapse, thus forming a new planetary embryo. Using local, high-resolution simulations, the project team will study whether hydrodynamic instabilities, such as those in the figure on the right (Comment: the figure on the right is borrowed from a paper by Benítez-Llambay et al. 2019), may occur in the pressure bump.
Protein Affinity and Selectivity to Cellular Me
Call: 18th Open Access Grant Competition
Researcher: Dr Robert Vácha
Institution: CEITEC
Field: Life Sciences

For the first phase of his research focused on protein affinity and selectivity of cellular membranes, Robert Vácha was awarded almost 2.9 million core hours. Spatial and temporal organisation of proteins in the cell is a crucial aspect for understanding the complex processes in living cells. Peripheral proteins organised at membranes of specific organelles to correctly perform their functions are important elements. However, the relationship between the protein sequence and its membrane is not yet known. The aim of the proposed project is to identify, quantify, and explain protein affinity for membranes with specific lipid composition. The team led by Robert Vácha aims at developing a computational method to determine the finding free energy of proteins and their mutants to membranes with specific lipid composition. Application of this method with the aid of the IT4Innovations computational resources will provide molecular understanding allowing the preferred localization of proteins in cells to be determined and as such it can be used in development of new protein biomarkers, sensors, and drugs.
Simulation of Probe Diagnostics for COMPASS-Upgrade
Call: 18th Open Access Grant Competition
Researcher: Dr Aleš Podolník.
Institution: Institute of Plasma Physics of the CAS
Field: Earth Sciences

Aleš Podolník was awarded more than 1 million core hours for simulation of probe diagnostics for the COMPASS-U tokamak, a world-class fusion research facility which is currently being designed and constructed. This device shall produce plasmas relevant to those ones in the future ITER and DEMO fusion reactors. One of the planned areas of research is also to design plasma facing components, which require complex diagnostics equipment. To study the unique plasma properties in the COMPASS-U tokamak, both the existing and the newly-developed diagnostics systems will be used. One such diagnostic is Langmuir probes which, when properly set up, can measure electron temperature and density essential for calculation of thermal stresses of the plasma facing components. However, design and use of probes for measurements inside the tokamak with extreme plasma parameters takes significant effort. The research project of Aleš Podolník and Michael Komm aims at simulation of probes that would be accommodated to various variants as well as shaping options of plasma facing components inside the tokamak. Previous research projects show that proper probe design is crucial not only from the operational point of view, for example, to avoid melting of the probe under extreme plasma energy flow, but also to maximize the accuracy and precision of obtained physical data, in particular.
Impact of Massive Stars on the Composition of Globular Clusters
Call: 18th Open Access Grant Competition
Researcher: Dr Michail Kourniotis
Institution: Astronomical Institute of the CAS
Field: Astrophysics

Michalis Kourniotis from the Astronomical Institute of the CAS was awarded 718,000 core hours to study the impact of massive stars on the composition of globular clusters. With a diameter of tens of light years, globular clusters are spheroidal dense collections of hundreds of thousands to millions of very old stars. They can typically be found in the spheroidal halo of the Milky Way and other galaxies. Originally thought to comprise of stars of the same age, it is now well established that globular clusters host multiple generations of stars with different ages and chemical compositions. Numerical methods for simulating the non-stationary wind of massive clusters are valuable for acquiring knowledge about gas dynamics inside a small globular cluster and thermal instabilities that potentially lead to newborn stars, in particular. The latest stellar evolutionary models provide essential input parameters to determine the mass and energy accumulated in globular clusters by massive stars in the form of extremely fast stellar winds and supernovae outbursts. Michail Kourniotis with his colleagues Richard Wünsch and Barnabás Barna will use the supercomputer to perform high-resolution 3D simulations to obtain information about formation of several stellar generations in spheroidal globular clusters. In addition, the objective of this project is also to study the impacts of extreme stellar types on the wind evolution in globular clusters and its spatial distribution.
Accuracy and precision for extended systems IV
Call: 18th Open Access Grant Competition
Researcher: Dr Jiří Klimeš
Institution: Charles University in Prague
Field: Material Sciences

More than 2.8 million core hours of the IT4Innovations computational resources were awarded to a team led by Jiří Klimeš for a project focused on precision and accuracy of binding energies calculations in crystals, especially those bound by non-covalent interactions. These materials, such as methane clathrates at the bottom of the sea, pharmaceuticals crystals, and layered systems such as graphite to name but few. One of their peculiar properties is polymorphism – the ability of a crystalline material to adopt different crystal structures, even under same conditions. One of the objectives of this project is to use a supercomputer to develop a method that would allow a reliable description of the stability of different polymorphs or different crystalline phases of materials. It is a basic research project aiming at both gaining deeper understanding of the accuracy limits of the currently used methods and development of higher precision methods applicable in future material simulations. The research team led by Jiří Klimeš would also like to integrate developed scripts for preparation and analysis of calculation into “packages” used for automated working procedures. This all is expected to ensure that the methods for accurate calculations of binding energies can be used by other research groups as well as increase reproducibility of such results.
Photoacoustic tomography of the breast
Call: 17th Open Access Grant Competition
Researcher: Dr Jiří Jaroš
Institution: Brno University of Technology
Field: Life Sciences
Jiří Jaroš from BUT was awarded more than 300,000 core hours for validation of the developed photoacoustic tomography (PAT) software on a set of breast phantoms and optimisation for speed and accuracy. The goal is to validate the generated PAT image under noisy conditions and the presence of moving artifacts, inhomogeneous lighting, limited sensor bandwidth, and variability between ultrasound sensors caused by a given production technology. This data will be used for fine tuning of the PAT software before being used with a set of 20 patients. The images generated using photoacoustic tomography, x-ray imaging, and computed tomography will then be passed on to clinical doctors for evaluation. The results of this study shall lead to development of new screening and diagnostics methods in breast mammography. The tissue is exposed to an infrared beam with a nanosecond pulse with energy being absorbed by tumour blood vessels. Then, thermo-elastic expansion occurs inside the tumour (the tumour trembles). Radiation changes into heat in the form of generating ultrasound pulses by density change. Ultrasound propagates out of the tissue and is recorded on the surface of ultrasound detectors. The goal of these simulations performed within the project is to use the recorded signal to reconstruct the place the sound comes from, and its quantitative qualities (position of blood vessels, their size, amount of oxygenated blood, etc.).
Electrification of thunderstorms simulations of selected events
Call: 17th Open Access Grant Competition
Researcher: Dr Zbyněk Sokol
Institution: Institute of Atmospheric Physics C
Field: Earth Sciences
More than 1 million core hours was awarded to Zbyněk Sokol from the Institute of Atmospheric Physics CAS for simulation and study of electrification of thunderstorms. Thunderstorms are one of the most dangerous climate phenomena, which are accompanied with strong gusts of wind, hail, and high lightning activity. Although they can lead to huge socio-economic losses related to severe material damages as well casualties, thunderstorms have not been fully described and understood yet, which makes their prediction uncertain. One of the processes in thunderstorms that remain unclear is the process of electrification. Zbyněk Sokol, together with his colleague Jana Minářová, will use the supercomputer to simulate the electrification process during convective thunderstorms which were observed within the territory of the Czech Republic between 2018 and 2019. These simulations will take place using the Cloud Electrification Model (CEM), which has been implemented in the COSMO Numerical Weather Prediction model, or CEM-COSMO. The authors consider their project innovative as it is the first time that electrification of thunderstorms will be studied over the territory of Central Europe. The project results may lead to expanding the knowledge related to thunderstorms, such as electrification and lightning activity, as well as more accurate weather forecast modelling.
Conformational Behaviour of Small Peptide Fragments Studied by Quantum Chemical Methods
Call: 17th Open Access Grant Competition
Researcher: Dr Lubomír Rulíšek
Institution: Institute of Organic Chemistry and Biochemistry CAS
Field: Chemistry
To what extent does conformational strain in proteins determine their three-dimensional structure? This is a question Lubomír Rulíšek from the Institute of Organic Chemistry and Biochemistry CAS is aiming to answer using the more than 5 million core hours he was awarded. Large-scale quantum chemical calculations coupled with modern solvation methods represent a unique set of ab initio tools to explain the key determinants of biomolecular structure. Understanding the conformational strain in proteins and in their ligands may represent a new and computationally tractable way to significantly deepen our understanding of protein folding and of protein-ligand interactions. The aim of this work is to determine the conformational space of all 400 existing dipeptides and the energy map of the conformers. Based on this large dataset, it is then possible to understand the trends and rules determining the spatial structure of proteins. Apart from the computed data, Lubomír Rulíšek with his colleagues Martin Culka and Tadeáš Kalvoda will perform experimentally-verifiable sets of tests, which shall provide evidence for the proposed hypotheses. The project results shall find their area of application in, for example, the design and development of drugs as well as the design of specific enzyme-based catalysts.
From antiphase boundaries to new rare-earth-free magnets
Call: 17th Open Access Grant Competition
Researcher: Prof. Mojmír Šob
Institution: CEITEC
Field: Material Sciences
The research team led by Prof. Mojmír Šob from CEITEC was awarded more than 8 million core hours for the project focused on analysis of antiphase (AP) boundaries on magnetic properties of intermetallic compounds and their thermodynamic as well as mechanical stability. This information is essential for successful development of new magnetic materials. The project aims at Fe-Al alloys, the magnetic properties of which can be improved by AP boundaries by up to dozens of per cents according to the latest experiments. The awarded computational resources will be used by the research team to study the properties of conventional (rare-earth-free) Fe-Al-based magnets and to understand the relevant physical mechanisms, the knowledge of which is essential to improve the properties of these magnetic materials.
Neural network potentials for in silico design of zeolites
Call: 17th Open Access Grant Competition
Researcher: Dr Lukáš Grajciar
Institution: Charles University in Prague
Field: Material Sciences
Lukáš Grajciar was awarded more than 2 million core hours for implementing his project focused on the in silico design of new catalysts, such as zeolites. Zeolites have great potential in the area of developing green technologies because they are the most important industrial catalysts used primarily in crude oil processing and petrochemistry. Lukáš Grajciar along with his colleagues Andreas Erlebach, Christopher J. Heard, and Petr Nachtigall use the awarded computational resources for simulations using deep neural network-based force fields for screening large databases of candidate structures and their modelling under operating conditions with unprecedented accuracy. The project results shall provide deeper insight into the structure and stability of existing and hypothetical zeolites, which have not yet been synthesized, and improve the catalytic properties of zeolites in general.
Alzheimer‘s Lipids III
Call: 17th Open Access Grant Competition
Researcher: Dr Michael Owen
Institution: CEITEC
Field: Life Sciences
Alzheimer‘s disease is a chronic, progressive disorder of the nervous system, which causes degenerative death of neurons associated with characteristic histopathologic changes. This disease is diagnosed in 1 of 8 people aged over 65, which makes it the most common cause of dementia in middle-aged to upper-aged people. It is expected that by the year 2030, 14 million people will have suffered from this disease. Michael Owen from CEITEC was awarded over 1 million core hours for his first study, focused on the lipids associated with Alzheimer‘s disease. He will use the computational resources to shed light on the aggregation mechanism in amyloid-β (Aβ) peptide, which is a characteristic feature observed in Alzheimer‘s development and progression. Aggregation will be studied in the presence of gangliosides, which may affect Aβ peptide aggregation and have an undisputed role in the development and regeneration of the brain and progression of Alzheimer‘s disease. Apart from gaining atomic insight into the role of gangliosides in Alzheimer‘s disease, this project will also be beneficial for the research of other neurodegenerative diseases such as Parkinson‘s and Huntington‘s diseases.
MOLECULAR AND MESOSCOPIC SIMULATIONS OF AQUEOUS SOLUTIONS IN INHOMOGENEOUS ENVIRONMENTS
Call: 16th Open Access Grant Competition
Researcher: Dr Barbora Planková
Institution: Czech Academy of Sciences
Field: Material Sciences
Barbora Planková from the Institute of Chemical Process Fundamentals of the Czech Academy of Sciences was awarded more than 1 million core hours for molecular and mesoscopic simulations of aqueous solutions in non-homogenous environments. Aqueous solutions are omnipresent in nature, industrial processes, and daily life. Understanding their behavior in inhomogeneous environments (nanopores, self-assembled systems) is important in many key applications such as medicine and enviromental protection. Together with her colleagues, Karel Šindelka and Martin Lísal, Planková will use the supercomputer in three research areas. The first one is graphene-aqueous electrolyte interfaces. Graphene is also called the miracle material of the 21st century. Graphene membranes, for example, could be used in water desalination or its cleaning. First of all, however, it is important to understand the elementary molecular processes, which will be studied by the project author using the supercomputer. The second research area is focused on ionic surfactants used, for example, in fabric conditioners. Part of the allocated computational resources will be used to study of the behaviour of these active substances and their interaction with soft surfaces – the key aspects of their functionality. The third research area focuses on solubilisation of small molecules in interpolyelectrolyte complexes, which can influence drug effectiveness and removal of pollutants.
VIRTUAL SCREENING OF HUMAN AND PLANT HORMONES
Call: 16th Open Access Grant Competition
Researcher: Dr Václav Bazgier
Institution: Palacký University in Olomouc
Field: Life Sciences
Virtual screening employs supercomputers to discover potentially new chemical compounds, which is a cheaper and less time-consuming approach than their laboratory testing. The computer selects the best performing candidates from a large library of chemical compounds, which are then experimentally tested. Václav Bazgier from Palacký University in Olomouc was awarded almost half a million core hours for his project titled Virtual screening of human and plant hormones. These hormones play a crucial role in human, animal, and plant life, and are responsible for a number of processes of biological interest. The allocated computational resources will be used in the design of new compounds – hormone-based drugs and fertilizers – by means of molecular docking using data from different databases such as DrugBank and the Human Metabolome Database.
COHESIVE PROPERTIES OF IONIC LIQUIDS FROM FIRST-PRINCIPLES CALCULATIONS
Call: 16th Open Access Grant Competition
Researcher: Dr Ctirad Červinka
Institution: University of Chemistry and Technology Prague
Field: Chemistry
Ctirad Červinka from the University of Chemistry and Technology Prague was awarded more than 1 million core hours for calculations of cohesive properties of ionic liquids. Exhibiting unique properties such as low volatility and boundless structural variability, these ionic liquids posses huge potential for being used in various technologies such as gas capture and smart electrolytes. Broader exploitation of their beneficial characteristics, however, is impeded by their cost as well as insufficient understanding of their physical and chemical properties. Low volatility of ionic liquids, being one of their most valuable properties, is also the principle factor making reliable measurements of their vapor pressures and heat of vaporization extremely difficult. The awarded computational resources will therefore be used to assess the performance of ab initio predictions of sublimation of ionic liquids, aiming to complement or even replace the difficult and hard-to-reproduce vaporization experiments with calculations.
MECHANISM OF GENOME RELEASE OF NON-ENVELOPED VIRUSES
Call: 16th Open Access Grant Competition
Researcher: Lukáš Sukeník
Institution: CEITEC, Masaryk University
Field: Life Sciences
Many picornaviruses are human pathogens that cause diseases varying from the common cold to life-threatening encephalitis. Currently, there is no picornavirus antiviral drug approved for humans. Lukáš Sukeník from CEITEC and Masaryk University was awarded more than 4 million core hours to study the mechanism of picornavirus genome release. A cell can be infected once the picornavirus genome is released. These non-enveloped viruses need to transport their genetic material from the protective protein shell (capsid) to host cell cytoplasm. Using the supercomputer and molecular dynamics simulation, Sukeník will study the affects of the capsid properties on genome release. The knowledge obtained will be used for the development of new antiviral therapeutics.
HIGH-THROUGHPUT SCREENING OF METAL-ORGANIC FRAMEWORKS FOR CO2 SEPARATION FROM A POST-COMBUSTION GAS MIXTURE UNDER HUMID CONDITIONS
Call: 16th Open Access Grant Competition
Researcher: Dr Pezhman Zarabadi-Poor
Institution: CEITEC, Masaryk University
Field: Material Sciences

Dr. Pezhman Zarabdi-Poor from CEITEC was awarded more than 3 million core hours for identification of the best performing metal-organic frameworks that can separate CO2 from a post-combustion gas mixture using high-throughput systematic screening. The main anthropogenic source of CO2 emission is combustion of fossil fuels. Economic growth and industry development have continually been contributing to its concentration increase in the atmosphere, which leads to global warming of the Earth. One of the most efficient methods to avert this unwanted phenomenon and to maintain industrial development is Carbon Capture Sequestration (CCS). In this regard, metal-organic frameworks (MOFs) are considered attractive solid adsorbents that can efficiently be utilized for carbon capture from one of the main sources of CO2 emission, i.e. post-combustion gas (average content of CO2 is 15–16 %). The supercomputer and the computational resources in the amount of 3.3 million core hours will be used by Zarabdi-Poor to find best performing metal-organic frameworks, which will later be synthesized and experimentally verified in a laboratory. This research is part of the CMPSTORE project funded by the EU Horizon 2020 programme within the Marie Skłodowska-Curie action and co-funded by the South Moravian Region. The project is implemented within the research group of Prof. Radek Marek, and its active participant is Esmaiel Farajpour Bonab, a student of the Physical Chemistry PhD study programme.
DRVOSTEP – OPEN TRANSLATION
Call: 16th Open Access Grant Competition
Researcher: Martin Kolář
Institution: Brno University of Technology
Field: Informatics
DrVostep will investigate the limits of machine translation for hundreds of languages. The first output will be the analysis of translation quality with and without intermediate languages, such as CZ->DE versus CZ->EN->DE. A second result, benefiting the wider European community, will be an open machine translation website like google translate, but unlimited and free by performing client-side computations. More than 1.5 million core hours were awarded to Martin Kolář from Brno University of Technology to study the quality of translations for hundreds of languages. The current research is generally focused on the development of methods which learn to translate texts between two languages, with no research having been focused on translations among more than 6 languages so far. The objective of Martin Kolář’s project is to improve translation quality, to quantify the complexity of languages, and thus find the difference between the quality of direct translation as opposed to translation with an intermediate language. Using our supercomputer, the research team from Brno University of Technology aims to analyse hundreds of languages and develop an open online translator.
MACHINE LEARNING IN BIOMETRICS AND BIOMEDICINE
Call: 15th Open Access Grant Competition
Researcher: Jan Tinka
Institution: Brno University of Technology
Field: Life Sciences
The computational resources amounting to almost 1 million core hours will be used by scientists from Brno University of Technology for development of automated detection system for diabetic retinopathy, and for removing the effects of skin diseases for fingerprint recognition. Retinopathy often refers to a retinal vascular disease, or damage to the retina caused by abnormal blood sugar. A higher risk of development of various forms of this disease is present in diabetes patients. The objective of the project of Jan Tinka and his team is to develop a detection system using machine learning algorithms, the use of which will be user-friendly for eye specialists as well as patients. In cooperation with dermatologists, Jan Tinka is also developing a system for detection, localization, and recognition of fingerprint damage.
RESEARCH AND DEVELOPMENT OF LIBRARIES AND TOOLS IN THE INFRA LAB
Call: 15th Open Access Grant Competition
Researcher: Dr Petr Strakoš and Dr Lubomír Říha
Institution: IT4Innovations
Field: Informatics
Our colleagues from the IT4Innovations Infrastructure Research Lab were awarded almost 1.5 million core hours for developing the tools used by the users of our supercomputers in their research. The key topics of this project include energy efficiency in HPC, development of the numerical ESPRESO library, and visualization tools. The allocated computational resources will be used for analysis of the behaviour of new HPC applications and their dynamic tuning, with the objective to reduce the energy consumption when run on a supercomputer. In the case of the ESPRESO library, one of our research flagships, the research will be focused on solutions for, for example, improving single-node performance and in its deployment on systems with graphic accelerators. As far as the visualization tools are concerned, our colleagues aim to develop an open source tool for the visualization of scientific data which will be available to the users of our infrastructure. The visualization tool will be based on Blender, the popular 3D creation suite, in particular on its 2.80 version, which is to be released in the first quarter of this year.
COMPUTATIONAL CHARACTERIZATION OF SELECTED PROTEINS ASSOCIATION FREE ENERGIES II
Call: 15th Open Access Grant Competition
Researcher: Dr Jozef Hritz
Institution: Masaryk University
Field: Life Sciences
Already the seventh project of Dr Hritz from Masaryk University was awarded computational resources of IT4Innovations. He uses supercomputers, for example, for his research of the 14-3-3 protein complexes and tyrosine hydroxylase (TH). His project submitted within the 15th Open Access Grant Competition was awarded more than 1.5 million core hours. The research objective is to reveal structural and free energy changes, which are essential for protein complexes’ formation. Any disruption of the network of interactions underlying the formation of protein−protein complexes may lead to a number of pathologies. His research group will also focus on TH, one of the key enzymes operative in the human brain. The TH/14-3-3 protein complex regulates the level of dopamine, an organic chemical which plays an important role as a neurotransmitter, and of which deficiencies are heavily Conserved association pathway of phosphorylated partners to the primary binding location (IS1) of the 14-3-3 protein is shown in green. The image is taken from the publication NAGY, G., C. OOSTENBRINK, J. HRITZ a Y. Koby LEVY: Exploring the Binding Pathways of the 14-3-3ζ protein: Structural and Free-energy Profiles Revealed by Hamiltonian Replica Exchange Molecular Dynamics with Distancefield Distance Restraints. PLOS ONE. 2017, 12(7). DOI: 10.1371/journal.pone.0180633. implicated in the onset of Parkinson’s disease. By combining state-of-the-art computer simulation and contemporary experimental techniques (e.g., nuclear magnetic resonance and cryoelectron microscopy), better understanding of the dynamical properties and thermodynamics of protein association will be possible. Using strengthened sampling computational methods, Dr Hritz’s research team has, for example, already discovered that the 14-3-3 protein must adopt a transitional conformation state not known up till now. Moreover, they discovered a conserved associated pathway serving client proteins to reach their final binding conformation once they are phosphorylated. These findings can be useful in explaining the effects of mutation along this association pathway as well as in its use as the target for designed drugs modulating this group of the 14-3-3 protein complexes.
INVESTIGATION OF FLUIDIZATION REGIMES IN WURSTER FLUID BED COATER
Call: 15th Open Access Grant Competition
Researcher: Jiří Kolář
Institution: University of Chemistry and Technology
Field: Engineering
The Wurster fluid bed device is widely used in pharmacy for the coating of small pellets. Coating is used to apply layers onto the pellets with various functions. Some layers can consist of active pharmaceutical ingredients (API), and others can be used to protect the API from decomposing, or prolong the drug effect. However, it is difficult to set the process operating parameters optimally to obtain product of a pharmaceutical quality. Being awarded almost 3 million core hours, the project of Jiří Kolář from the University of Chemistry and Technology in Prague is focused on analysis of dependency of fluidization regimes on operating parameters setting in a Wurster fluid bed coater using computationally intensive simulations. Jiří Kolář will then seek to find an optimal simplification of this model, which could have the capacity to speed up the drug design and reduce its costs.
ANALYSIS OF CAUSES AND PREDICTION OF PCRF EVENTS IN 4G AND 5G NETWORKS
Call: 15th Open Access Grant Competition
Researcher: Prof. Miroslav Vozňák
Institution: IT4Innovations the Faculty of Electrical Engineering and Computer Science at VSB-TUO
Field: Informatics
Our colleague Prof. Miroslav Vozňák and his team from the Faculty of Electrical Engineering and Computer Science at VSB-TUO were awarded almost half a million core hours for their project aimed at increasing the reliability and reducing the costs of maintaining new technologies to ensure mobile 4G and 5G network operation. This research is being carried out based on cooperation with the Centre of Excellence for network development operated by T-Mobile Czech Republic a.s. Together, they would like to find the key data sources, gather information about technical problems in one place, and identify performance indicators which can be used to increase reliability and prevent problems in the network. The data processing results obtained by the use of a supercomputer will serve as the basis for planned machine learning applications such as detection and classification of mobile network anomalies.
VALIDATION OF THE MODEL PALM-4U AGAINST OBSERVATION CAMPAIGN IN PRAGUE-DEJVICE
Call: 15th Open Access Grant Competition
Researcher: Ondřej Vlček
Institution: The Czech Hydrometeorological Institute
Field: Earth Sciences
PALM-4U (www.palm4u.org) is a micro-scale model which allows detailed simulation of meteorological conditions and air quality in urban areas with a resolution of single meters. Its use makes modelling of increasingly frequent extremely high temperatures in urban areas (Urban Heat Island Effect) followed by increased air pollution easier. Besides, the model also allows complex evaluation of urban scenarios’ impacts on microclimate and air quality. The project of Ondřej Vlček from the Czech Hydrometeorological Institute (CHMI) and his colleagues from Charles University and the Czech Academy of Sciences aims at carrying out detailed validation of the latest PALM-4U model against the observation campaigns done in the Praha-Dejvice area. The campaign measurements were conducted by CHMI specialists in two fourteen-day episodes with one taking place in the summer and the other one in the winter of 2018. They measured not only the meteorological conditions and air quality in street canyons, but also building surface temperatures and heat flow through facades using infrared cameras. The team will also have access to the data generated by Prague’s meteorological stations. For validation of the model, they closely collaborate with partners from the German MOSAIK project (Urban planning based on the model and its use in the climate change domain), and they were awarded more than 1 million core hours for this work within our 15th Open Access Grant Competition.
IN SILICO DRUG DESIGN
Call: 14th Open Access Grant Competition
Researcher: Prof. Pavel Hobza
Institution: The Czech Academy of Sciences
Field: Material Sciences
The Principal Investigator of the project focused on development of in silico drug design methods is Pavel Hobza from the Czech Academy of Sciences. This is his ninth project involving the use of a supercomputer, which was awarded IT4Innovations computational resources. The objective of his research group’s work is to develop a reliable computing strategy for identification of new ligands, which bind to therapeutically relevant proteins such as HIV protease, cyclin-dependent kinases, and aldo-keto reductases. The team is currently focused on developing reliable protocols for the virtual screening of compound libraries, which may contain millions of chemical substances. For the project of virtual screening for drug discovery, the team of professor Hobza was awarded more than 6 million core hours this time.
EFFECTS OF BIOMECHANICAL PROPERTIES OF LIPID MEMBRANES
Call: 14th Open Access Grant Competition
Researcher: Prof. Pavel Jungwirth
Institution: The Czech Academy of Sciences
Field: Material Sciences
Prof. Pavel Jungwirth from the Institute of Organic Chemistry and Biochemistry of the CAS focuses on the research of macroscopic properties of lipid membranes. Aided by a supercomputer and molecular dynamics methods, he will perform a simulation of lipid bilayer behaviour. In plasma membranes, not only their chemical composition (e.g., types of the membrane-forming lipids) but also their shape will be investigated. The team of Prof. Jungwirth aims to detect the effects of the bilayer shape on membrane interactions. New findings about membrane shapes will open new opportunities for understanding the regulation of enzymes and other proteins in cells.
A MACHINE LEARNING APPROACH FOR THE DESCRIPTION OF ZEOLITES
Call: 14th Open Access Grant Competition
Researcher: Dr Miroslav Rubeš
Institution: Czech Academy of Sciences
Field: Material Sciences
The scientific domain with projects with the highest allocation of computational resources not only in our centre is material science. The project of Miroslav Rubeš from the Institute of Organic Chemistry and Biochemistry of the Czech Academy of Sciences, which was awarded almost 2 million core hours, falls in this domain as well. It is focused on zeolites, which are used as detergents, catalysts, and adsorbents. In 2017, the value of the global zeolite market was about 30 billion US dollars. The objective of Miroslav Rubeš project is to use machine learning algorithms to create a model which enables deeper understanding of the phenomena occurring in zeolitic materials.
HYALURONAN STRUCTURE, INTER-MOLECULAR INTERACTIONS AND INTERACTIONS WITH PROTEIN RECEPTORS
Call: 14th Open Access Grant Competition
Researcher: Dr Marek Ingr
Institution: Tomáš Baťa University in Zlín
Field: Life Sciences
Hyaluronic acid is a natural polysaccharide present, for example, in connective tissues and synovial fluid. It performs a large number of biological functions and is used not only in cosmetics but also in the healthcare sector in osteoarthritis treatment and wound and burn care. Hyaluronic acid reacts with protein receptors and mediates cellular signalling amongst other functions. Therefore, it is assumed that it also plays its part in the development of various diseases, including cancer. Research of hyaluronic acid and the mechanism of its molecular interactions with protein receptors is also carried out by Marek Ingr from Tomáš Baťa University in Zlín, who was awarded computational resources in our 12th as well as 14th Open Access Grant Competitions. He uses a supercomputer to perform molecular dynamics simulations with the aim to detect, for example, the key hyaluronan-protein interactions. Building on these findings, new drugs and cosmetic products may possibly be designed.
CONVECTION PERMITTING CLIMATE SIMULATIONS
Call: 14th Open Access Grant Competition
Researcher: Dr. Michal Belda
Institution: Charles University
Field: Earth Sciences

In climate change assessment, global and regional climate models are an important tool. However, they still have relatively low resolution, and their potential to be used for local application is therefore limited. The low resolution of the majority of models does not allow implicit assessment of phenomena such as upward movements (convection) and the resulting intensive precipitations. In models, these phenomena need to be parametrically represented. Since 2016, researchers from almost 30 European institutions have been cooperating on a pilot study approved by the advisory team of the World Climate Research Programme (WCRP). For developing climate scenarios, this study uses regional nonhydrostatic high-definition (3 km and less) implicit convection permitting modelling. In the future, we will thus have much more detailed scenarios of climate change effects on the regional and local level. In our 14th Open Access Grant Competition, Michal Belda from Charles University, who is involved in this WCRP pilot study, was awarded 1 million core hours for the simulation of long-term climate in the past in order to serve as a base for assessment of future climate scenarios. Belda will focus on the Alpine region and the Czech Republic.
AN OPEN-SOURCE BASED FRAMEWORK FOR CFD-BASED OPTIMIZATION OF ROTARY MACHINES
Call: 14th Open Access Grant Competition
Researcher: Tomáš Krátký
Institution: Palacký University Olomouc
Field: Engineering
Tomáš Krátký from Palacký University Olomouc was awarded half a million core hours for the development of a fully automated model for CFD-based rotary machine simulations. Solely based on open source software (OpenFOAM, Python), this brand new model will allow designers to optimize the shapes of rotary machines to achieve their best possible hydraulic performance. They will thus achieve better designs of rotary machines in a shorter time. The new computational approach will be used in pump design, which is expected to outmatch the currently used ones by its performance parameters. Research and development in the field of numerical simulation for shape optimization plays a key role for pump and turbine manufacturers. Drawing the benefits of a faster and cheaper computational approach for hydraulic designs, companies may thus optimize and tailor their products for their customers.
Formation of planetary systems
Call: 13th Open Access Grant Competition
Researcher: Dr Ondřej Chrenko
Institution: Charles University
Field: Astrophysics
Can life be created on planets discovered outside our solar system (on exoplanets)? One of the key steps to find the answer to this question is understanding how exoplanets and their systems are formed. Possible scenarios for planetary system formation will be researched by Dr Ondřej Chrenko from Charles University in Prague. In this research project, he collaborates with other Czech astronomers Doc. Miroslav Brož and Dr David Nesvorný (working in the USA) as well as with Lund Observatory in Sweden. Using computer simulations generated by the IT4Innovations supercomputers, this project aims at researching formation of planetary embryos and their dynamic development in protoplanetary disks of dense gas and dust rotating around young newly formed stars.
Accuracy and precision for molecular solids - II
Call: 13th Open Access Grant Competition
Researcher: Dr Jiří Klimeš
Institution: Charles University
Field: Material Sciences
Dr Jiří Klimeš and his research team were awarded almost 2 million core hours for their development of materials simulation methods. His “Accuracy and precision for molecular solids – II project” applies quantum chemistry knowledge and approaches used for the description of solids, and received the prestigious start-up grant by European Research Council. In nature as well as industry molecular solids (molecular crystals) play an important role, for example, methane hydrate, also called Burning Ice, a potentially very important source of energy, carbon dioxide ice caps on Mars, and pharmaceuticals in pills. Some molecular crystals have peculiar yet important properties. An interesting example is polymorphism, which is the ability of a molecule of the same compound to exist in different structures under same conditions, and as such it may be crucial for effectiveness of drugs in the body. The objective of Dr Klimeš‘ project is to develop methods for reliable calculations of lattice energies in materials such as molecular crystals, which will help understand their properties. In this project, the Salomon supercomputer will be used for extracting the lattice energies of 13 selected molecular crystals.
Reaction Mechanisms of Dinuclear Open-Shell Metalloenzymes
Call: 13th Open Access Grant Competition
Researcher: Dr Lubomír Rulíšek
Institution: Czech Academy of Sciences
Field: Life Sciences
Metalloproteins play an important role in nature as catalysts of biochemical reactions which would not occur in the absence of metal ions. These reactions include nearly all oxidation-reduction processes, spin-forbidden processes, or processes, during which fission of very stable chemical bonds (C-H bonds, triple or double bonds in N2 or O2 molecules) occur. These fundamental biological processes include, for example, photosynthesis and cellular respiration. To understand the function and structure of metalloproteins, not only experiments (e.g. x-ray crystallography, spectroscopy, and electro-chemical measurements) but also computational methods of theoretical chemistry, which can provide insights into the structure and energetic properties of metalloproteins, are important. The project led by Dr Lubomír Rulíšek from the Czech Academy of Sciences focuses on the research of three selected metalloproteins with polynuclear cores (hence more metal ions at enzyme active sites), which play an important role not only in nature but also as potential industrial catalysts. His project was awarded over 3 million core hours. The allocated computational resources will be used for comparing experimental results with results obtained from quantum-mechanical modelling (using the Turbomole, MOLCAS, Amber, ComQum, and ORZ programs) with the objective to obtain a description of the catalytic cycles of the studied metalloenzymes. The research results have the potential to be used for biomimetic (inspired by nature) designs for catalytic cycles finding their potential area of application in the chemical industry.
Parallelized reaction-transport model of contamination spread in groundwater
Call: 13th Open Access Grant Competition
Researcher: Dr Michal Podhorányi
Institution: IT4Innovations
Field: Earth Sciences
Radioactive waste (RAW) emits hazardous radiation even for tens of thousands of years. Therefore, it must be isolated from the environment for a long time until it turns into stable substances. In the Czech Republic, RAW is safely stored in three radioactive waste repositories. However, the globally most efficient and safest way for the disposal of these substances is considered to be a deep repository in a stable geological environment with the absence of natural disaster hazards, such as earthquakes and floods. In the Czech Republic, the Czech Radioactive Waste Repository Authority is responsible for the deep repository project, which is to be commenced in 2065. The Authority is currently identifying potentially suitable locations, and the final location is supposed to be selected in 2025. Our colleagues Michal Podhorányi and Lukáš Vojáček have been cooperating with Masaryk University in Brno and the DHI company in the project titled Parallelized reaction-transport model of contamination spread in groundwater (PaReTran) supported by the Technology Agency of the Czech Republic (TH02030840). The objective of the PaReTran project is to improve methods of analyses of the potential risk of environmental contamination due to long-term spread of radioactive substances from the deep radioactive waste repository through the surrounding rock formation. Since simulations generated using reaction-transport models (FEFLOW) are computationally intensive, their parallelization for deployment on HPC systems will allow their speed-up. The computational resources awarded in our 13th Open Access Grant Competition will be used by the researchers for the TRM program development. They will focus on testing and evaluating the scalability of the program parallelization using the open-source PhreeqcRM library for simulations of geochemical processes.
PredictSNP-Onco: Structural Bioinformatics Analysis for Personalized Pediatric Oncology
Call: 13th Open Access Grant Competition
Researcher: Dr Gaspar Pinto and Jan Štourač
Institution: Masaryk University
Field: Life Sciences
The research teams of Prof. Jiří Damborský and David Bednář from Masaryk University in Brno, Prof. Jaroslav Štěrba from University Hospital Brno - Children‘s Hospital, and Doc. Ondřej Slabý from CEITEC are involved in development of the new PredictSNP-Onco computational tool designated for personalized pediatric oncology. The new tool aims at making it faster for doctors to design the most suitable treatment for each individual patient, whose treatment so far based on standard methods has failed, or where the probability a of successful cure by standard methods is very low. Cancer cell formation may be caused by one single mutation. Therefore, it is vitally important to assess such mutations as fast as possible, and consider treatment by all available drugs (inhibitors) which have been certified by the European Medicine Agency (EMA), the State Institute for Drug Control (SIDC), or by the U.S. Food and Drug Administration (FDA). The computational resources of almost 800 thousand core hours will be used by the researchers to assess all possible protein mutations which lead to cancer development, and for analyses of inhibitors using the computational molecular docking method. Using information from four world-wide databases of mutations along with the computed results, the researchers will help design new possibilities for personalized/precise treatment for various types of cancer. Doctors thus obtain information in a shorter time, which enables them to speed up the design of appropriate an treatment for each individual patient in good time.
Interactions of drug molecules with mimics of human tear film
Call: 13th Open Access Grant Competition
Researcher: Dr Lukasz Cwiklik
Institution: Czech Academy of Sciences
Field: Life Sciences
The tear film protects the cornea of the human eye against water evaporation. It nourishes the cornea surface, and it serves as the first line of protection against eye surface infection. It is produced by spreading tears all over the eye surface by a blink of an eye. Its thickness changes during eye blinking. Essentially, it consists of a lipid and a water layer. Disorders in the lipid layer lead to dry eye syndrome, which is treated with eye drops. The researchers from the J. Heyrovský Institute of Physical Chemistry CAS are the only ones worldwide to study the effectiveness of eye drops at the molecular level. They are seeking ways to transport the required substances through the lipid layer and cooperate with pharmaceutical companies in tear film research. Microscopic research of the lipid layer will be supplemented with computer simulations using the Salomon supercomputer by Lukasz Cwiklik. His project was awarded more than 1.5 million core hours in our 13th Open Access Grant Competition. The allocated computational resources will be used for research of selected lipophilic drugs, in particular the way the drugs permeate through the lipid layer to the water layer. Experimental (use of biomimetic chip, the construction of which was awarded the prestigious Neuron Impulse grant) and computational results of the research will enhance our knowledge of the interaction of drugs with the human tear film, and eventually the design of a new generation of eye drops. For the website of Dr Cwiklik’s research, see: http://cwiklik.net.
Research centre for low-carbon energy technologies
Call: 13th Open Access Grant Competition
Researcher: Dr Jan Boháček
Institution: Brno University of Technology
Field: Engineering
The supercomputing project of Jan Boháček from Brno University of Technology (BUT), who is involved in the fiveyear long project Research centre for low-carbon energy technologies (CVNET, CZ.02.1.01/0.0/0.0/16_019/0000753) supported by the Research, Development and Education Operational Programme, was awarded almost 1 million core hours. The Heat Transfer and Fluid Flow Laboratory at BUT has been involved in the development of modern polymeric heat exchangers with hollow fibres for 10 years so far. The advantage of using polymeric hollow fibres in heat exchangers is their flexibility, low costs, and chemical resistance. Polymeric heat exchangers are ideal, for example, for heating, air-conditioning, and low-potential residual heat applications. The allocated computational resources will be used by the group of BUT researchers for development of polymeric heat exchangers, in particular for detailed heat transfer simulations. They will analyse different factors, which affect heat transfer in polymeric hollow microfibers (diameter, lengths, and fibre spacing).
Structural studies of human and animal viruses
Call: 12th Open Access Grant Competition
Researcher: Dr Pavel Plevka
Institution: CEITEC MU
Field: Life Sciences
The project of Dr. Pavel Plevka from CEITEC at Masaryk University was awarded 2,213,000 core hours for his research of picornaviruses, flaviviruses, and bacteriophages. Our supercomputers and the allocated computational resources will be used for processing and analysis of micro images created by state-of-the-art electron microscopes. Picornaviruses cause not only common cold but also serious diseases such as encephalitis and respiratory inflammation. Scientists determine the structure of virus particles (virions), by means of which the virus spreads from one cell to another, and describe viral replication in infected cells. Flaviviruses, including Zika and encephalitis viruses, cause potentially fatal neurological diseases. Scientists will focus on an encephalitis virus causing hundreds of potentially fatal infections in the Czech Republic every year. The results of the project shall provide scientists with a detailed description of the viral replication mechanism.
Structural characterization of intrinsically disordered proteins
Call: 12th Open Access Grant Competition
Researcher: Prof. Lukáš Žídek
Institution: Masaryk University
Field: Life Sciences
Intrinsically disordered proteins (IDPs) are macromolecules lacking a stable and well defined tertiary structure. They have no stable structure and hence no thermodynamic minimum determining their function. During the course of the last decade, they have attracted wide attention due to their important role in a vast number of cellular processes. They include, for example, transcription of genetic information as well as their potential connection with neurodegenerative diseases. Recent research findings have shown that the main role in the protein function is not in their structure but their dynamic behaviour. The project of prof. Lukáš Žídek from Masaryk University, which was awarded 1,480,000 core hours, is aimed at a more detailed study of the conformational behaviour of selected IDPs using a combination of state-of-the-art extensive computer simulations with their own prediction codes and advanced experimental methods (e.g., nuclear magnetic resonance spectroscopy, or small angle X-ray scattering.
Optimization design of functional materials in a new type of lithium based battery
Call: 12th Open Access Grant Competition
Researcher: Dr Dominik Legut
Institution: IT4Innovations
Field: Material Sciences
Our colleague Dr. Dominik Legut is involved in the research of lithium-based metal batteries. Unlike lithium-ion batteries, these batteries have higher energy density and are capable of storing ten times more energy. However, lithium anodes face many of the challenges associated with their lower charging efficiency, change of volume while charging/ discharging, and especially with dendritic growth. In 2017, Dr. Legut, together with his colleagues from the USA, China, and Singapore, published an article about protective films for lithium-based metal batteries in the Advanced Energy Materials journal with an impact factor of 16. Special protective two-dimensional films with a thickness of a few atoms are capable of preventing electrodes connecting (and the subsequent dangerous short-circuit), which can potentially occur as a result of dendritic growth on lithium-based anodes. This time, Dr. Legut was awarded 8 million core hours for his research of the optimal structure of lithium-based anodes. Together with other colleagues, he will aim at designing optimal materials for lithium-based anodes using prediction algorithms, chemical stability and mechanical properties calculations.
Proton acceleration via laser interaction with plasma micro-bunches produced by cryogenic hydrogen ribbon
Call: 12th Open Access Grant Competition
Researcher: Martin Matys
Institution: Czech Technical University in Prague
Field: Life Sciences
Being also involved as researchers in the ELI Beamlines project, Ing. Martin Matys and Dr. Jan Pšikal from the Czech Technical University in Prague were awarded 800,000 core hours for their project focusing on ion accelerator development. In particular, they are involved in research of proton acceleration induced by high power laser impulse interaction with a cryogenic hydrogen ribbon. Laser based ion accelerators have the potential to replace the extremely expensive conventional accelerators in the future, thereby, for example, lowering the costs of proton therapy for treatment of oncological diseases as well as the production costs of medical isotopes for positron emission tomography. Scientists are particularly interested in the interaction when a laser pulse burns through the target and then interacts with the remaining plasma micro-bunches of much lower density than the initial target. Such a mechanism is capable of accelerating protons to energy ranges of hundreds of millions of electron volts. The project objective is deeper study of this mechanism using numerical three-dimensional simulations, which is significantly cheaper in comparison to real experiments.
Development of Relativistic Spectroscopy (ReSpect) computational code for study of heavy metal anticancer complexes
Call: 12th Open Access Grant Competition
Researcher: Dr Jan Vícha
Institution: Tomáš Baťa University in Zlín
Field: Material Sciences
One of the cancer medical treatment methods is chemotherapy. The most frequently used chemotherapeutics are platinum-based drugs. The key step for their further development is a more detailed study of their structure, properties, dynamics, and reaction mechanisms. The project of Dr. Jan Vícha from Tomáš Baťa University in Zlín carries on his previous research project, as well as the results of his project, which was awarded computational resources within our 9th Open Access Grant Competition. The objective of the new project, which has now been awarded 1,134,000 core hours, is to enhance prediction ability and the accuracy of computation of complex platinum-based alloys spectroscopic properties using the ReSpect program developed by the project partner organization - Arctic University of Norway. The newly modified code of the program will first be tested using magnetic resonance parameter computations of simple platinum chemotherapeutics, such as cisplatin and oxaliplatin in solution. The scope of the research activities will then be extended to simulations of new advanced carriers of platinum drugs, which is also the main topic of the Advanced Carriers for Platinum Drugs project supported by the Grant Agency of the Czech Republic, also implemented by Dr. Vícha. The allocated computational resources will be used in testing the modified code and for relativistic quantum chemical computations performed by the ReSpect program for prediction and analysis of magnetic resonance parameters for heavy metal complex compounds.
Fiji Bioimage Informatics on HPC - “Path to Exascale”
Call: 12th Open Access Grant Competition
Researcher: Dr Michal Krumnikl
Institution: IT4Innovations
Field: Life Sciences
The IT4Innovations National Supercomputing Center – path to exascale project, which supports the research in the area of biological image analysis using HPC, allows IT4Innovations to participate in the research of large bioimage dataset processing using high performance computing (HPC) systems. This research is focused on parallelization of key steps in, for example, light sheet microscopy data processing. Light sheet microscopy has become popular for scanning living cells and organisms for its speed and low photo toxicity, which allows complex living systems such as embryos to be microscopically scanned three-dimensionally with high resolution and for their entire development period. The main objective of the project is to extend the options of the Fiji platform, which is used by tens of thousands of users worldwide for the processing of large image datasets. The development team led by Dr. Krumnikl in collaboration with Dr. Pavel Tomančák from Max Planck Institute in Dresden (Germany) will modify each data analysis method for seamless running on HPC systems. Development and deployment of the Fiji platform on HPC systems shall allow its users to fully exploit its potential on large bioimage datasets.
Experimental comparison of word embedding methods
Call: 12th Open Access Grant Competition
Researcher: Martin Fajčík
Institution: Brno University of Technology
Field: Informatics
Numeric representation of words used in natural language processing is referred to as word embedding. It consists in creating a vector for each word. Advanced word embedding methods have applications in various areas associated with, for example, speech recognition and translation. The objective of the project by Ing. Martin Fajčík from Brno University of Technology, which was awarded 850,000 core hours, is to experiment with state-of-the-art word embedding methods (count-based and prediction methods) by training them on large data sets. The team of scientists aim to identify the drawbacks of different methods, and find ways for their further improvement. The project activities also include developing deeper understanding of the relation between the vectors of words and their real meaning. Other interesting research topics will be processing of homonyms, synonyms, antonyms, and hyponyms. The models allow not only the relation between words they “learned” to be predicted but also the dimension of these relations to be represented. Moreover, they enable lexical arithmetic (e.g., the similarity between words).
Deep Learning for Novel Drug Discovery
Call: 11th Open Access Grant Competition
Researcher: Vojtěch Cima
Institution: IT4Innovations
Field: Life Sciences
The Deep learning for Novel Drug Discovery project of Ing. Vojtěch Cima has been awarded 400,000 core hours. The allocated computational resources will be used for deep learning in predicting the effects of potential drugs and their possible toxic side effects. Using prediction algorithms, novel drug discovery and the related costs can simultaneously be accelerated and reduced respectively. This research is carried out as part of the ExCAPE project, the objective of which is to develop algorithms for solving complex pharmacological problems.
Molecular simulations of tin based materials for EUV lithography
Call: 11th Open Access Grant Competition
Researcher: Prof. Petr Slavíček
Institution: The University of Chemistry and Technology Prague
Field: Material Sciences
How can focused high-energy radiation change a material? What particular changes will occur at a molecular level? The chemical changes of materials under the influence of high- -energy photons are studied by the team led by Prof. Petr Slavíček from the Laboratory of the Theoretical Photodynamics Research Group at the University of Chemistry and Technology in Prague. Their project titled Molecular simulations of tin based materials for EUV lithography has been awarded 1,082,000 core hours. The objective of this project is to describe molecular changes occurring in extreme ultraviolet (EUV) ionization of tin based organic compounds (particularly so-called Sn-O cages). These compounds may potentially be used as photoresist materials for EUV lithography, a new generation of lithography for nanometric dimensions applicable in effective production of new computer chips. The method is based on the changes of physical and chemical properties of photoresists (e.g. their solubility) after EUV radiation. By exposing specific areas of a material to the radiation, the dimension of the resulting structure can be up to 10 nm, which is the threshold limit dimension of today‘s commercial chips. Considerable computational intensity of molecular simulations of ionized Sn-O compounds is generated by the rich electron structure of tin. Simulation of a single trajectory taking half a picosecond requires almost a week to be computed using common processors. With its 76,896 cores (Intel Haswell processors and Intel Xeon Phi accelerators), our Salomon supercomputer will allow the researchers to perform extensive simulation, which would not be practically executable otherwise.
IntA
Call: 11th Open Access Grant Competition
Researcher: Dr Petr Vrchota
Institution: The Czech Aerospace Research Centre
Field: Engineering
Design of new regional aircraft and airlines is mainly influenced by economic and environmental factors. Individual parts of airplanes are optimized, for example, with respect to aerodynamic efficiency, fuel consumption, and emissions. Another option for reducing the aerodynamic drag and saving fuel are optimized integrated communication antennas. The antennas usually protrude and contribute to the total drag of the airplane. The IntA project of Dr. Petr Vrchota from the Czech Aerospace Research Centre has been awarded 200,000 core hours. This project focuses on designing a new winglet with an integrated antenna to improve the flight performance and aerodynamic efficiency of the entire aeroplane and reduce fuel consumption as well as negative environmental impacts. The objective of the research project is to reduce the aerodynamic drag of the aeroplane by up to 2 % using the integrated antenna.
Relative Stabilities of Mismatches in Nucleic Acids
Call: 11th Open Access Grant Competition
Researcher: Dr Petr Kulhánek
Institution: CEITEC, Masaryk University
Field: Life Sciences
The research team led by Dr. Kamila Réblová and Dr. Petr Kulhánek from the Central European Institute of Technology - Masaryk University (CEITEC MU) has been awarded 634,000 core hours for their research into the relative stability of base pairing in deoxyribonucleic acids (DNA). Chains of the double helix structure of DNA carry genetic information, the integration of which is secured by Watson-Crick complementary pairing. During the process of DNA replication, which occurs when cells divide, this complementarity is used in creating two identical copies of DNA. However, during the replication process, errors such as mismatched base pairs can occur. This is then recognized by various reparation mechanisms. One of them is mismatch repair (MMR), with the MutS enzyme being the active component in mismatch recognition. When such mismatch is detected, this enzyme activates a cascade of processes leading to its repair. The allocated computational resources of IT4Innovations supercomputers will allow scientists to perform molecular simulations of short molecules of DNA and focus on describing the stability of all possible combinations of bases containing both the correct Watson-Crick pair and all other combinations. It is believed that this stability can be one of the many factors affecting the effectivity of the MMR mechanism in detecting errors. The information obtained may thus be important for understanding the development of genetically determined diseases or the formation of cancerous growths.
In silico drug design
Call: 10th Open Access Grant Competition
Researcher: Prof. Pavel Hobza
Institution: Institute of Organic Chemistry and Biochemistry of the Czech Academy of Sciences
Field: Material Sciences
Prof. Pavel Hobza from the Institute of Organic Chemistry and Biochemistry of the Czech Academy of Sciences conducts research on computer-aided drug design. His project “In silico drug design” has been awarded 7,425,000 core hours within the 10th Open Access Competition. The allocated computational resources will be used for developing virtual screening methods for drugs. Used by the pharmaceutical industry, this approach is based on molecular modelling (docking and scoring) in order to identify suitable substances for designing new drugs. Due to its high computing performance requirements, the reliability of these methods has been low so far. Using the IT4Innovations supercomputers and employing exact quantum chemistry computations, the researchers from Prof. Hobza’s team are able to predict both the drug structure at the active site of proteins and their ability to bind, which determines their therapeutic effects. The recently published approach is currently used in collaboration with leading pharmaceutical companies.
Experimental verification of computer simulation of non-linear ultrasound propagation through biological tissues
Call: 10th Open Access Grant Competition
Researcher: Dr Jiří Jaroš
Institution: Brno University of Technology
Field: Life Sciences
The research team of Dr. Jiří Jaroš has been awarded 2,678,000 core hours for their research in the field of computer simulations of ultrasound propagation in biological tissues. The researchers focus on targeted ultrasound, which is applied in the treatment of non-invasive cancer and other diseases. The targeted ultrasound is based on the principle of focusing high-power ultrasound beams through biological tissues. Surgeons are thus able to remove a tumour from the body of their patients using a non-invasive procedure. The results of the ultrasound surgery, however, are influenced by many factors, such as presence of bones, large blood vessels, and fat surrounding organs. These factors lead to attenuation, scattering, and reflection of the ultrasound wave, which then does not have enough energy in the required area. Therefore, the awarded allocation will be used by the research team from Brno University of Technology for evaluating the accuracy and optimization of the models of ultrasound propagation in biological tissues.
ESPRESO FEM – Heat Transfer Module
Call: 10th Open Access Grant Competition
Researcher: Dr Tomáš Brzobohatý
Institution: IT4Innovations
Field: Informatics
The project by Dr. Tomáš Brzobohatý “ESPRESO FEM – Heat Transfer Module“ has been awarded 2,425,000 core hours. The research team will focus on developing and testing the finite element method-based complex and massively parallel library for performing simulations of heat transfer problems, and their optimization. This library includes the massively parallel iterative ESPRESO solver continually developed at IT4Innovations.
PIC simulation of heat flux distribution on plasma-facing components in thermonuclear reactor components and experiments in the WEST tokamak
Call: 10th Open Access Grant Competition
Researcher: Dr Michael Komm
Institution: Institute of Plasma Physics of the Czech Academy of Sciences
Field: Physics
Researchers from the Institute of Plasma Physics of the Czech Academy of Sciences are involved in the research associated with a long-term international effort to tame thermonuclear fusion. The project of Dr. Michael Komm has been awarded 300,000 core hours, and focuses on modelling the deposition of heat transferred by plasma particles on the plasma-facing components. The research focuses on the experiments in the WEST tokamak, located in Cadarache in Southern France, where the prototypes of the components designated for the currently built ITER tokamak will be tested. As the first fusion device, ITER is supposed to generate more energy than it consumes. However, this is linked with extreme heat fluxes reaching the material limits of the plasma-facing components. The objective of the Czech Academy of Sciences project is to find out whether the understanding of the interaction of plasma and the plasma-facing components is accurate enough for successful operation of the thermonuclear reactor.
The role of hybridization in triggering asexual reproduction in fish
Call: 9th Open Access Grant Competition
Researcher: Karel Jank
Institution: University of Ostrava
Field: Life Sciences
The researchers from the University of Ostrava will deal with a very interesting topic – asexual reproduction in fish. They will focus on the fish family Cobitidae, which are widespread throughout Europe. You may know some species of this family occurring throughout the Czech Republic: Weatherfish (Misgurnus fossilis) and Spined Loach (Cobitis taenia). The reproductive abilities of this fish can be repeatedly disrupted by interspecies breeding. Interspecies breeding can lead to emergence of asexual fish individuals: both infertile males and fertile females, which do not reproduce sexually. In contrast, they reproduce clonally. All the asexual females need to reproduce is the presence of the sperm cell (male reproductive cell) to stimulate the egg cell development without the fertilization process. The offspring are all females, the clones of their mother. Why are clonally reproducing individuals produced during interspecies breeding only? Does the emergence of such asexual fish individuals represent a natural evolutionary step in the formation of new species? Using the IT4Innovations supercomputers, the answers to these questions will be sought by the research team led by Dr. Karel Janko within the project entitled “The role of hybridization in triggering asexual reproduction in fish”.
Protein-protein interactions important in neurodegenerative diseases
Call: 9th Open Access Grant Competition
Researcher: Dr Jozef Hritz
Institution: Masaryk University
Field: Life Sciences
The research team led by Dr. Jozef Hritz will use the IT4Innovations supercomputers for the research of the 14-3-3 protein complexes, which are associated with oncological and neurodegenerative diseases, such as Alzheimer's and Parkinson's disease. On the atomic level, the static molecular structure of these proteins has already been studied using experimental techniques such as X-ray crystallography and nuclear magnetic resonance. However, their dynamics have not been thoroughly studied yet. Study of the dynamical properties is essential for understanding the origin of these protein complexes because this knowledge allows target action to be taken in order to prevent the processes causing the development and progression of Alzheimer’s and Parkinson’s disease. The researchers from Masaryk University would like to describe these changes and thus contribute to the understanding of both neurodegenerative diseases.
Detection and evaluation of orbital floor fractures using HPC resources
Call: 9th Open Access Grant Competition
Researcher: Dr Petr Strakoš
Institution: IT4Innovations
Field: Life Sciences
The research team at IT4Innovations implements state-of-the- -art approaches to information technologies in medical diagnostic methods. They are focused on precise detection and measurement of orbital floor fractures from computer tomography (CT) scans in cooperation with the doctors from the University Hospital Ostrava. The objective of this project is to develop new, and improve existing, methods for CT scan analysis using image filtering and segmentation, and developing parallel algorithms for 3D model reconstruction. The algorithms will be applied to analysis of post-traumatic treatments of patients with eye injuries.
BEM4I – Development of the parallel boundary element library II
Call: 9th Open Access Grant Competition
Researcher: Michal Merta
Institution: IT4Innovations
Field: Informatics
The researchers from IT4Innovations will continue to develop the library of parallel boundary element method (BEM)-based solvers. Within the previous project implementation, this (BEM4I) library was accelerated using the Intel Xeon Phi processors (Knights Corner, KNC), which complemented the already existing and operating parallelization using Open MPI. In this stage, it will be focused on further code optimization and its testing on the new generation of Intel Xeon Phi processors (Knights Landing, KNL). The objective of this project is to develop an efficient library for fast solution of boundary integral equations. The researchers will be involved in vectorization of system matrices and distributed memory parallelization. BEM4I could be used for solving real engineering problems in the field of sound propagation or shape optimization.





 - kopie.png)







































.png)
.png)









































.png)




















.png)



 Rekonstrukce viru klíšťové encefalitidy pomocí kryoelektronové mikroskopie.png)








.png)












