Diamond may be the ultimate symbol of hardness, but new research shows that its exceptional strength depends on more than just chemical composition. Two recent studies published in the journal Carbon reveal that the mechanical performance of nanodiamond materials is governed primarily by their internal structure at the nanoscale. The research was carried out with the help of IT4Innovations supercomputers.
For decades, scientists have sought ways to make diamond – and superhard materials in general – even more resilient. Beyond advancing fundamental research, the goal is to enable new materials for demanding applications in high-power electronic devices, semiconductors, aerospace, and other advanced industries. Existing superhard materials are approaching their limits, whether due to limited thermal stability, as in the case of pure diamond, or the extreme conditions required for their synthesis, such as those needed for cubic boron nitride.
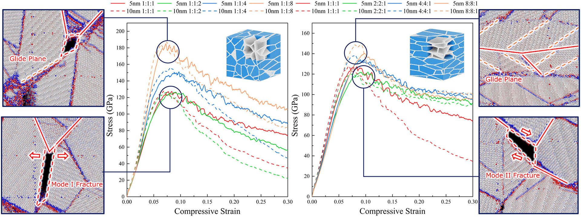
One of the studies focused on nano-polycrystalline diamond (nanodiamond), with grain sizes on the order of 10⁻⁹ metres. As grain size decreases, strength typically increases because the movement of defects inside the material is suppressed. Using atomistic simulations, researchers including Dominik Legut from IT4Innovations investigated how nanodiamonds with different grain shapes, sizes and morphology respond to extreme compressive stress, and which combination of properties leads to the highest resistance to deformation.
The results show that strength depends strongly on the loading direction and on the grain shape. Elongated grains, in particular, significantly reduce the tendency of the material to crack. Instead of brittle fracture, deformation occurs within the grains themselves, allowing nanodiamond to withstand extreme loading more effectively.
Based on these findings, the researchers proposed a design principle for tailoring crystal grain shapes to maximise strength. The approach opens new pathways for the development of synthetic diamonds and other carbon-based materials that combine extreme hardness with improved mechanical resilience.
The second study examined nanocomposites combining diamond with cubic boron nitride (cBN), one of the hardest known inorganic non-metallic materials. While each material has inherent limitations, their combination at the nanoscale offers a way to overcome them.
The study demonstrates that material strength is influenced not only by chemical composition, but also by subtle atomic-scale features at internal interfaces. Structures such as the nanotwinned and stacking-faulted, enhance resistance to the slide stress within atomic layers. The strengthening effect is even more effective when these interfaces also exhibit mirror symmetry.
Dominik Legut from IT4Innovations, working with colleagues from China, Australia and Japan, showed that deliberately engineered atomic interfaces in diamond/cBN nanocomposites can lead to a substantial increase in strength, while maintaining high thermal stability. Precise control of these interfaces is expected to play a central role in the development of the next generation of superhard nanomaterials.
All simulations in both studies were performed on the supercomputers at IT4Innovations. Materials scientists believe the results will significantly expand the application potential of nanodiamonds and their composites across a wide range of scientific and industrial fields.
Research articles:
Morphology dominated deformation mechanism of ultrahard nanostructured diamond
https://doi.org/10.1016/j.carbon.2025.120426
A dislocation perspective on heterointerfacial strengthening in nanostructured diamond and cubic boron nitride composites
https://doi.org/10.1016/j.carbon.2025.120079
Illustrative image from: Liu, Z., Xu, T., Zhang, Y., Geng, A., Legut, D., & Zhang, R. (2025). Morphology dominated deformation mechanism of ultrahard nanostructured diamond. Carbon, 242, 120426. https://doi.org/10.1016/j.carbon.2025.120426

